CE Board Exam Randomizer

⬅ Back to Subject Topics

Singly-Reinforced Beams

Concept Concept Concept Concept Concept Concept Concept Concept Concept Concept Concept Concept Concept Concept Concept Concept Concept Concept Concept

Problem 1: Design of a Reinforced Concrete Beam

Design a reinforced concrete beam to carry a service dead load of 20kN/m (including its own weight) and service live load of 25kN/m plus a concentrated service live load of 30kN shown. Use f'c=21MPa, fy=276MPa, b=d/2, and ⌀=28mm main bars. The beam is to be reinforced in tension only.

Singly Reinforced Beam | Principles of Reinforced Concrete – Problem 1: Design of a Reinforced Concrete Beam – Diagram Singly Reinforced Beam | Principles of Reinforced Concrete – Problem 1: Design of a Reinforced Concrete Beam – Diagram Singly Reinforced Beam | Principles of Reinforced Concrete – Problem 1: Design of a Reinforced Concrete Beam – Diagram

See images:

Singly Reinforced Beam | Principles of Reinforced Concrete – Problem 1: Design of a Reinforced Concrete Beam – Diagram Singly Reinforced Beam | Principles of Reinforced Concrete – Problem 1: Design of a Reinforced Concrete Beam – Diagram Singly Reinforced Beam | Principles of Reinforced Concrete – Problem 1: Design of a Reinforced Concrete Beam – Diagram Singly Reinforced Beam | Principles of Reinforced Concrete – Problem 1: Design of a Reinforced Concrete Beam – Diagram

Problem 2: Triangular Beam | Investigation Problem

For the beam shown below, f'c=27MPa, fy=270MPa, steel cover to centroid of bars = 100mm. As=4-32mm diameter bars.
a. Determine the depth of the compression block.
b. What is the compressive strength of concrete?
c. What is the nominal moment capacity of the beam?

Singly Reinforced Beam | Principles of Reinforced Concrete – Problem 2: Triangular Beam | Investigation Problem – Diagram Singly Reinforced Beam | Principles of Reinforced Concrete – Problem 2: Triangular Beam | Investigation Problem – Diagram Singly Reinforced Beam | Principles of Reinforced Concrete – Problem 2: Triangular Beam | Investigation Problem – Diagram

See images:

Singly Reinforced Beam | Principles of Reinforced Concrete – Problem 2: Triangular Beam | Investigation Problem – Diagram Singly Reinforced Beam | Principles of Reinforced Concrete – Problem 2: Triangular Beam | Investigation Problem – Diagram Singly Reinforced Beam | Principles of Reinforced Concrete – Problem 2: Triangular Beam | Investigation Problem – Diagram Singly Reinforced Beam | Principles of Reinforced Concrete – Problem 2: Triangular Beam | Investigation Problem – Diagram

Problem 3: Rectangular Beam | Investigation Problem

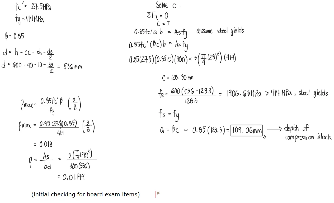
The beam shown is reinfoced with 3=28mm⌀ and its width is 300mm. The total height of the beam is 600mm. Assume that the clear cover is 40mm and 10mm⌀ stirrups are used. Use f'c=27.5MPa and fy=414MPa.
a. Compute the depth of the compression block in mm.
b. Determine the ultimate moment capacity of the beam section.
c. What additional service live load at the midspan can the beam carry in addition to a service dead load of 20kN/m (including its own weight)?

Singly Reinforced Beam | Principles of Reinforced Concrete – Problem 3: Rectangular Beam | Investigation Problem – Diagram Singly Reinforced Beam | Principles of Reinforced Concrete – Problem 3: Rectangular Beam | Investigation Problem – Diagram Singly Reinforced Beam | Principles of Reinforced Concrete – Problem 3: Rectangular Beam | Investigation Problem – Diagram

Beam Section and Ratio and Proportion based on strain converted to stresses:

Singly Reinforced Beam | Principles of Reinforced Concrete – Problem 3: Rectangular Beam | Investigation Problem – Diagram

Zoomed-in View of the computation of the centroidal cover:

Singly Reinforced Beam | Principles of Reinforced Concrete – Problem 3: Rectangular Beam | Investigation Problem – Diagram

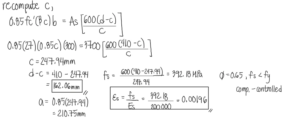
Compute c and check fs if steel yields. If fs > fy, steel yields and we can proceed computing the nominal moment capacity. However, if fs < fy, we must recompute c and express C=T in terms of c.

Singly Reinforced Beam | Principles of Reinforced Concrete – Problem 3: Rectangular Beam | Investigation Problem – Diagram

Since steel yields, we keep the value of a and compute the nominal moment capacity by taking the couple moment: $Force\times Distance$. Note that C and T are equal in magnitude and opposite in direction, so they induce a couple moment equivalent to any one of the forces multiplied by the distance between them.

Singly Reinforced Beam | Principles of Reinforced Concrete – Problem 3: Rectangular Beam | Investigation Problem – Diagram

To compute the additional service live load at the midspan that the beam can carry in addition to a service dead load of 20kN/m, we first compute Mu since we must analyze beams at ultimate condition. To obtain Mu, simply multiply the nominal moment Mn by the reduction factor, Φ. Since fs exceeds 1000MPa, Φ=0.9 (tension-controlled). At ultimate condition, we also use the factored load combination: $1.2DL + 1.6LL$. Since the loadings are common, we can use the formulas: $\frac{PL}{4}$ and $\frac{w\cdot L^2}{8}$ for the maximum moments.

Singly Reinforced Beam | Principles of Reinforced Concrete – Problem 3: Rectangular Beam | Investigation Problem – Diagram

Problem 4: Rectangular Beam | Investigation Problem

A reinforced concrete beam with width of 300mm and d=410mm is reinforced for tension with a reinforcement area of 3700mm2. Use f'c=27MPa and fy=415MPa.
a. Determine the distance (mm) of the steel reinforcements to the neutral axis.
A. 248
B. 162
C. 262
D. 148
b. Compute the tensile strain in the reinforcements.
A. 0.00196
B. 0.00169
C. 0.00122
D. 0.00244
c. If the beam is 8m long and is simply supported, find the concentrated service live load acting at the midspan that can be supported by the beam if it already carries a total service uniform dead load of 24kN/m.
A. 32.33
B. 52.32
C. 17.78
D. 66.13

Singly Reinforced Beam | Principles of Reinforced Concrete – Problem 4: Rectangular Beam | Investigation Problem – Diagram Singly Reinforced Beam | Principles of Reinforced Concrete – Problem 4: Rectangular Beam | Investigation Problem – Diagram Singly Reinforced Beam | Principles of Reinforced Concrete – Problem 4: Rectangular Beam | Investigation Problem – Diagram

See images:

Singly Reinforced Beam | Principles of Reinforced Concrete – Problem 4: Rectangular Beam | Investigation Problem – Diagram Singly Reinforced Beam | Principles of Reinforced Concrete – Problem 4: Rectangular Beam | Investigation Problem – Diagram Singly Reinforced Beam | Principles of Reinforced Concrete – Problem 4: Rectangular Beam | Investigation Problem – Diagram Singly Reinforced Beam | Principles of Reinforced Concrete – Problem 4: Rectangular Beam | Investigation Problem – Diagram

Problem 5: Singly Reinforced Beam Investigation | Two Layers (3 along first row and 2 along second row)

The beam section shown has the following properties:
bar diameter, db = 25mm
total height, h = 600mm
center to center distance between first and second row bars, a = 27mm
f'c = 32MPa
fy = 414MPa
beam width, bw = 300mm
diameter of stirrups, ds = 12mm
clear cover, cc = 40mm
Determine the following:
a. The ultimate moment, Mu, that the beam can carry
b. The ultimate uniform load that the beam can carry if it has a simply supported span of 7m
c. The ultimate uniform dead load (wuDL) carried by the beam if the service live load is 10kN/m
d. What additional concentrated service live load at the midspan (PLL can the beam carry if it has a service dead load of 20kN/m (including its own weight) and a service live load of 12kN/m?

Singly Reinforced Beam | Principles of Reinforced Concrete – Problem 5: – Diagram Singly Reinforced Beam | Principles of Reinforced Concrete – Problem 5: – Diagram Singly Reinforced Beam | Principles of Reinforced Concrete – Problem 5: – Diagram

See images:

Singly Reinforced Beam | Principles of Reinforced Concrete – Problem 5: – Diagram Singly Reinforced Beam | Principles of Reinforced Concrete – Problem 5: – Diagram Singly Reinforced Beam | Principles of Reinforced Concrete – Problem 5: – Diagram Singly Reinforced Beam | Principles of Reinforced Concrete – Problem 5: – Diagram

Problem 6:

Refer to the image shown:

Singly Reinforced Beam | Principles of Reinforced Concrete – Problem 6: – Diagram Singly Reinforced Beam | Principles of Reinforced Concrete – Problem 6: – Diagram Singly Reinforced Beam | Principles of Reinforced Concrete – Problem 6: – Diagram

See images:

Singly Reinforced Beam | Principles of Reinforced Concrete – Problem 6: – Diagram Singly Reinforced Beam | Principles of Reinforced Concrete – Problem 6: – Diagram Singly Reinforced Beam | Principles of Reinforced Concrete – Problem 6: – Diagram Singly Reinforced Beam | Principles of Reinforced Concrete – Problem 6: – Diagram

Problem 7:

Refer to the image shown:

Singly Reinforced Beam | Principles of Reinforced Concrete – Problem 7: – Diagram Singly Reinforced Beam | Principles of Reinforced Concrete – Problem 7: – Diagram Singly Reinforced Beam | Principles of Reinforced Concrete – Problem 7: – Diagram

See images:

Singly Reinforced Beam | Principles of Reinforced Concrete – Problem 7: – Diagram Singly Reinforced Beam | Principles of Reinforced Concrete – Problem 7: – Diagram Singly Reinforced Beam | Principles of Reinforced Concrete – Problem 7: – Diagram Singly Reinforced Beam | Principles of Reinforced Concrete – Problem 7: – Diagram

Problem 8:

Refer to the image shown:

Singly Reinforced Beam | Principles of Reinforced Concrete – Problem 8: – Diagram Singly Reinforced Beam | Principles of Reinforced Concrete – Problem 8: – Diagram Singly Reinforced Beam | Principles of Reinforced Concrete – Problem 8: – Diagram

See images:

Singly Reinforced Beam | Principles of Reinforced Concrete – Problem 8: – Diagram Singly Reinforced Beam | Principles of Reinforced Concrete – Problem 8: – Diagram Singly Reinforced Beam | Principles of Reinforced Concrete – Problem 8: – Diagram Singly Reinforced Beam | Principles of Reinforced Concrete – Problem 8: – Diagram
Scroll to zoom