CE Board Exam Randomizer

⬅ Back to Subject Topics

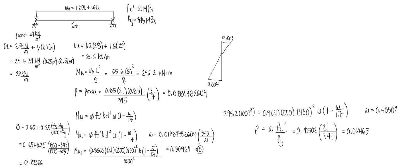
Problem 1:

Design a rectangular beam to carry a uniform live load of 20kN/m and a dead load of 25kN/m (excluding its own weight) on a simple span of 6m. The beam is limited in cross-section to 250x450mm. Using f'c=21MPa, fy=345MPa, determine the reinforcement. Use a steel covering of 60mm top and bottom.

Diagram A Diagram B

See images:

Solution Diagram 1 Solution Diagram 2 Solution Diagram 3

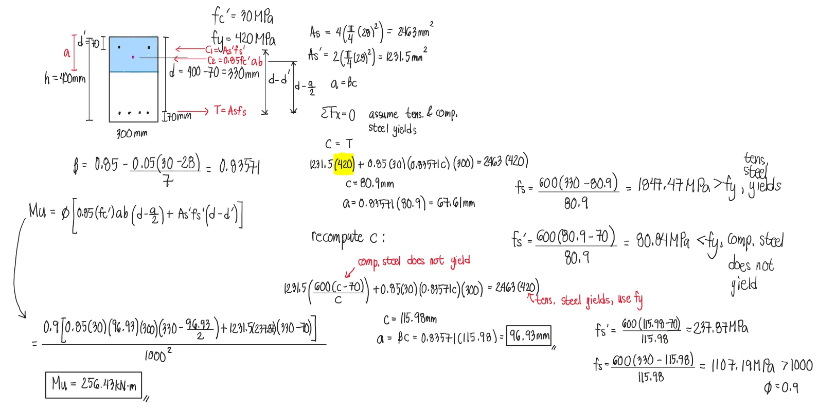
Problem 2:

A simply supported beam is reinforced with 4-28mm bars at the bottom and 2-28mm bars at the top. Steel covering to the centroid of reinforcement is 70mm at the top and bottom of the beam. The beam has a total depth of 400mm and a width of 300mm. Use f'c=30MPa and fy=420MPa.

  1. Determine the depth of compression block, mm
    A. 96.930    B. 67.61    C. 80.90    D. 115.102
  2. Determine the design strength of the beam in kN-m
    A. 256.436    B. 262.714    C. 248.146    D. 260.611
  3. Determine the concentrated service live load (kN) at the midspan in addition to a total service dead load of 20kN/m if it has a span of 6 meters. Use U = 1.2 + 1.6L
    A. 61.848    B. 64.041    C. 62.333    D. 69.471
Diagram A Diagram B

See images:

Solution Diagram 1 Solution Diagram 2 Solution Diagram 3
Scroll to zoom