CE Board Exam Randomizer

⬅ Back to Subject Topics

Reinforced Concrete Columns

Concept Concept Concept Concept Concept Concept Concept Concept
    ACI Code Specifications:
    Tied Column:
  • \(\rho_g=0.01-0.08\)
  • Minimum Reinforcement:
    1. 4-16mm\(\phi\) for square or rectangular column
    2. 6-16mm\(\phi\) for round tied column
  • Minimum Gross Area Ag=60,000mm2 or 250mmx250mm
  • Lateral Ties:
    1. 10mm\(\phi\) for 32mm\(\phi\) or smaller vertical bars
    2. 12mm\(\phi\) for vertical bars greater than 32mm\(\phi\)
  • Spacing of Lateral Ties (choose least):
    1. 16db (main bars)
    2. 48dt (tie bar)
    3. least column dimension
  • When there are more than four vertical bars, additional ties shall be provided so that no longitudinal bar shall be spaced more than 150mm on each side.
  • Concept
      Spiral Column:
  • \(\rho_g=0.01-0.08\)
  • Minimum Reinforcement: - 6-16mm\(\phi\)
  • Spacing of spirals: 25mm\(\le\)S\(\le\)75mm
  • Minimum spiral diameter: 10mm\(\phi\)
    1. \(\rho_s=\) ratio of the volume of spiral reinforcement to the volume of concrete core

    \(\rho_s=0.45(\frac{A_g}{A_{ch}}-1)\frac{f'c}{fy_t}\)

    Ag=gross area of column
    Ach=cross-sectional area of concrete core

    Problem 1 (Investigation):

    A square tied column 450mm on each side is reinforced with 8-25mm bars with fy=415MPa. Determine the safe service axial live load if the axial dead load on the column is 820kN. Use f'c=21MPa.

    Reinforced Concrete Columns | Principles of Reinforced Concrete – Problem 1 (Investigation): – Diagram Reinforced Concrete Columns | Principles of Reinforced Concrete – Problem 1 (Investigation): – Diagram Reinforced Concrete Columns | Principles of Reinforced Concrete – Problem 1 (Investigation): – Diagram

    See images:

    Reinforced Concrete Columns | Principles of Reinforced Concrete – Problem 1 (Investigation): – Diagram Reinforced Concrete Columns | Principles of Reinforced Concrete – Problem 1 (Investigation): – Diagram Reinforced Concrete Columns | Principles of Reinforced Concrete – Problem 1 (Investigation): – Diagram Reinforced Concrete Columns | Principles of Reinforced Concrete – Problem 1 (Investigation): – Diagram

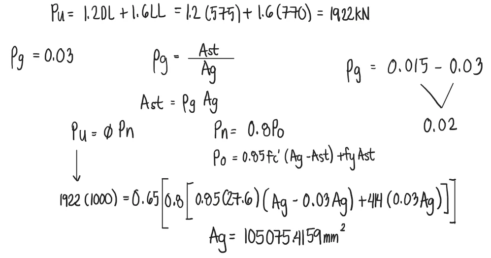
    Problem 2 (Design):

    Design a square tied column that must support an axial dead load of 575kN and an axial live load of 770kN. Assume f'c = 27.6MPa and fy=414MPa. Use 28mm main bars and 10mm ties.

    Reinforced Concrete Columns | Principles of Reinforced Concrete – Problem 2 (Design): – Diagram Reinforced Concrete Columns | Principles of Reinforced Concrete – Problem 2 (Design): – Diagram Reinforced Concrete Columns | Principles of Reinforced Concrete – Problem 2 (Design): – Diagram

    See images:

    Reinforced Concrete Columns | Principles of Reinforced Concrete – Problem 2 (Design): – Diagram Reinforced Concrete Columns | Principles of Reinforced Concrete – Problem 2 (Design): – Diagram Reinforced Concrete Columns | Principles of Reinforced Concrete – Problem 2 (Design): – Diagram Reinforced Concrete Columns | Principles of Reinforced Concrete – Problem 2 (Design): – Diagram

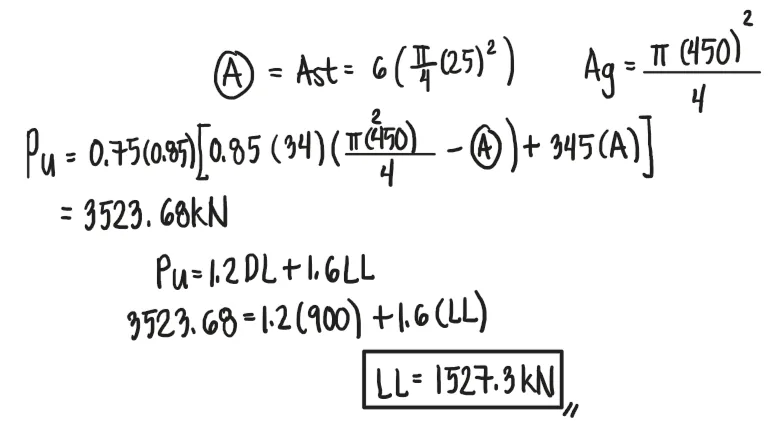
    Problem 3 (Investigation):

    A round spiral column having a diameter of 450mm is reinforced with six 25mm bars with fy=345MPa. If the service axial dead load is 900kN, determine the safe axial live load of the column. Use f'c=34MPa.

    Reinforced Concrete Columns | Principles of Reinforced Concrete – Problem 3 (Investigation): – Diagram Reinforced Concrete Columns | Principles of Reinforced Concrete – Problem 3 (Investigation): – Diagram Reinforced Concrete Columns | Principles of Reinforced Concrete – Problem 3 (Investigation): – Diagram

    See images:

    Reinforced Concrete Columns | Principles of Reinforced Concrete – Problem 3 (Investigation): – Diagram Reinforced Concrete Columns | Principles of Reinforced Concrete – Problem 3 (Investigation): – Diagram Reinforced Concrete Columns | Principles of Reinforced Concrete – Problem 3 (Investigation): – Diagram Reinforced Concrete Columns | Principles of Reinforced Concrete – Problem 3 (Investigation): – Diagram

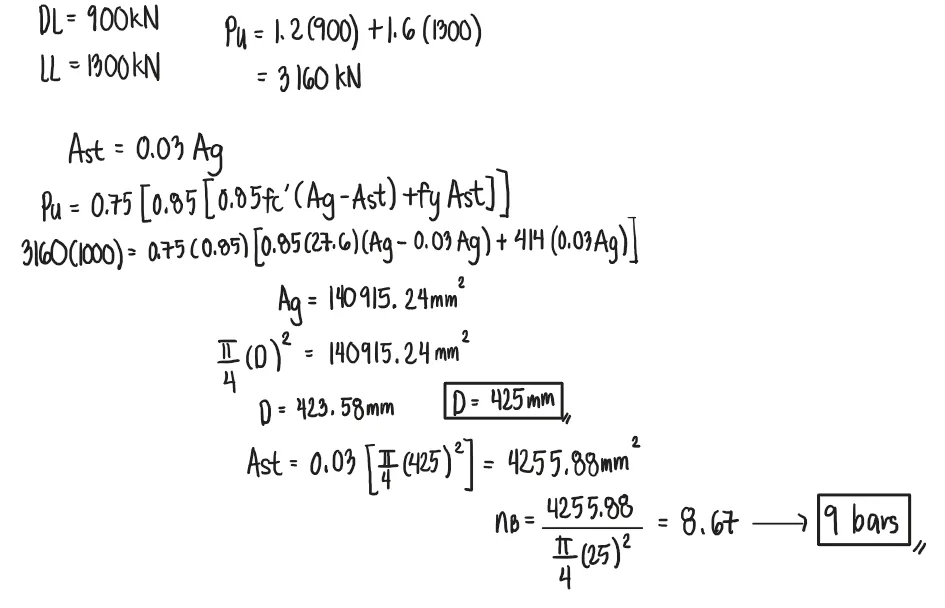
    Problem 4 (Design):

    Design a round spiral column to support an axial dead load of 900kN and an axial live load of 1300kN. Assume that 3% longitudinal steel is desired, f'c=27.6MPa, and fy=414MPa. Use 25-mm main reinforcement. Determine also the minimum spacing of 10-mm spiral (fyh=275MPa) with 30mm steel covering.

    Reinforced Concrete Columns | Principles of Reinforced Concrete – Problem 4 (Design): – Diagram Reinforced Concrete Columns | Principles of Reinforced Concrete – Problem 4 (Design): – Diagram Reinforced Concrete Columns | Principles of Reinforced Concrete – Problem 4 (Design): – Diagram

    See images:

    Reinforced Concrete Columns | Principles of Reinforced Concrete – Problem 4 (Design): – Diagram Reinforced Concrete Columns | Principles of Reinforced Concrete – Problem 4 (Design): – Diagram Reinforced Concrete Columns | Principles of Reinforced Concrete – Problem 4 (Design): – Diagram Reinforced Concrete Columns | Principles of Reinforced Concrete – Problem 4 (Design): – Diagram

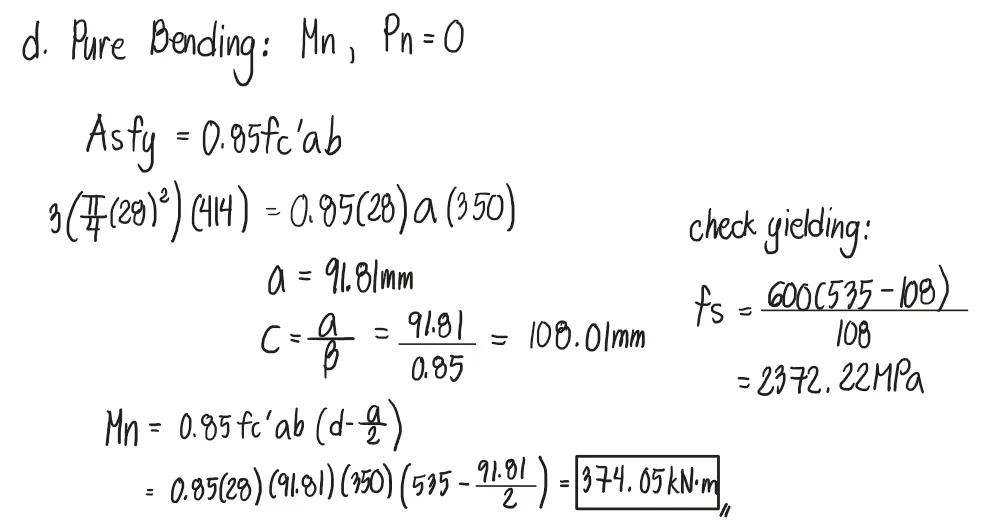
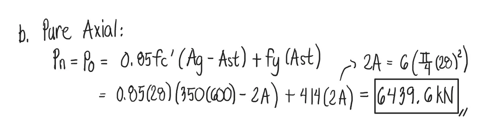
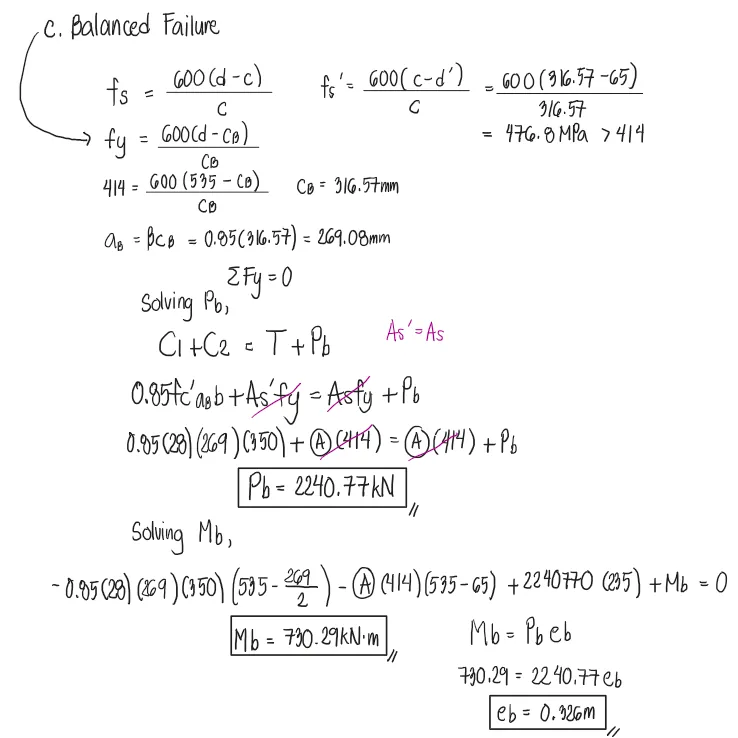
    Problem 5:

    The column in the figure shown below has a strain on its compressive edge equal to -0.003 and has a tensile strain of +0.002 on its other edge. It is reinforced with 6-28mm bars. b=350mm and h=600mm. Steel covering to the centroid of reinforcement is 65mm. Determine the nominal values of Pn and Mn that cause this strain distribution if f'c=28MPa and fy=414MPa.

    Reinforced Concrete Columns | Principles of Reinforced Concrete – Problem 5: – Diagram Reinforced Concrete Columns | Principles of Reinforced Concrete – Problem 5: – Diagram Reinforced Concrete Columns | Principles of Reinforced Concrete – Problem 5: – Diagram

    See images:

    Reinforced Concrete Columns | Principles of Reinforced Concrete – Problem 5: – Diagram Reinforced Concrete Columns | Principles of Reinforced Concrete – Problem 5: – Diagram Reinforced Concrete Columns | Principles of Reinforced Concrete – Problem 5: – Diagram Reinforced Concrete Columns | Principles of Reinforced Concrete – Problem 5: – Diagram Reinforced Concrete Columns | Principles of Reinforced Concrete – Problem 5: – Diagram Reinforced Concrete Columns | Principles of Reinforced Concrete – Problem 5: – Diagram Reinforced Concrete Columns | Principles of Reinforced Concrete – Problem 5: – Diagram Reinforced Concrete Columns | Principles of Reinforced Concrete – Problem 5: – Diagram
    Scroll to zoom