CE Board Exam Randomizer

⬅ Back to Subject Topics

Statically Indeterminate Members

A structure is statically indeterminate when the number of unknown reactions or internal forces exceeds the available equilibrium equations.

$$\Sigma F_v,\; \Sigma F_h,\; \Sigma M$$

Steps:

  1. Draw the free-body diagram (FBD) of the structure and apply the static equations of equilibrium.
  2. Formulate additional equations based on deformation relationships (compatibility conditions).
Concept Concept Concept Concept Concept Concept Concept Concept Concept

Problem: Timber Column Reinforced on Four Sides by Steel Plates with Unknown Thickness

A timber column, 8 in. by 8 in. in cross section, is reinforced on all four sides by steel plates, each plate being 8 in. wide and t in. thick. Determine the smallest value of t for which the column can support an axial load of 300 kips if the working stresses are 1200 psi for timber and 20 ksi for steel. The moduli of elasticity are 1.5x106psi for timber and 29x106psi for steel.

Statically Indeterminate Members | Mechanics of Deformable Bodies – Problem 1: – Diagram Statically Indeterminate Members | Mechanics of Deformable Bodies – Problem 1: – Diagram Statically Indeterminate Members | Mechanics of Deformable Bodies – Problem 1: – Diagram

Statically Indeterminate Members | Mechanics of Deformable Bodies – Problem 1: – Diagram

As our first step, we develop the equilibrium equation by Statics. Since the steel plates are distributed symmetrically along all sides of the timber section, its resultant force, Pst, will act at the center. Therefore,$$\Sigma F_y=0$$ $$P_t+P_{st}=P$$
where: $$P_t = \text {force in timber}$$ $$P_{st} = \text {force in steel}$$ $$P = \text {applied load}$$ Then, since $\sigma = \frac {P}{A}$, we can express the forces as $P =\sigma \cdot A$

Since we have two stress conditions that must be satisfied:

Assuming timber governs, we use the working stress of timber, which is 1200psi, and express the stress in steel in terms of the stress in timber.

By contrast, assuming steel governs, we use the working stress of steel, which is 20ksi or 20000psi, and express the stress in timber in terms of the stress in steel.

Statically Indeterminate Members | Mechanics of Deformable Bodies – Problem 1: – Diagram Statically Indeterminate Members | Mechanics of Deformable Bodies – Problem 1: – Diagram Statically Indeterminate Members | Mechanics of Deformable Bodies – Problem 1: – Diagram

Problem 2: Stresses in Square Concrete Post Reinforced with Steel Bars

A 4-ft concrete post is reinforced with four steel bars, each with a 3/4-in diameter. Es=29x106psi and Ec=3.6x106psi. Determine the following if a 150-kip axial centric force P is applied to the post.

Statically Indeterminate Members | Mechanics of Deformable Bodies – Problem 2: – Diagram Statically Indeterminate Members | Mechanics of Deformable Bodies – Problem 2: – Diagram Statically Indeterminate Members | Mechanics of Deformable Bodies – Problem 2: – Diagram

Equilibrium Equation:
$$\Sigma F_y=0$$ $$P=4P_{st}+P_c$$ $$P=4 \cdot \sigma_{st} (A_{st}) + \sigma_{c} (A_{c})$$
Note that the cross-sectional area of concrete should be the gross area of 8in x 8in minus the four steel areas. $$P=4 \cdot \sigma_{st} (\frac {\pi d^2}{4}) + \sigma_{c} ((8)(8)-4\cdot \frac{ \pi d^2}{4})$$ $$150kips=4 \cdot \sigma_{st} (\frac {\pi (3/4)^2}{4}) + \sigma_{c} ((8)(8)-4\cdot \frac{ \pi (3/4)^2}{4})$$
Equation based on the relationships of the deformation: $$ \left(\frac{PL}{AE}\right)_{st} = \left(\frac{PL}{AE}\right)_{c} $$ $$ \left(\frac{\sigma L}{E}\right)_{st} = \left(\frac{\sigma L}{E}\right)_{c} $$ $$ \frac{\sigma_{st}}{E_{st}} = \frac{\sigma_{c}}{E_{c}} $$ $$ \frac{\sigma_{st}}{29x10^6} = \frac{\sigma_{c}}{3.6x10^6} $$ $$\sigma_{st}=\frac {29}{3.6} \cdot \sigma_c$$ Substituting this expression in the equilibrium equation, $$150kips=4 \cdot \sigma_{st} (\frac {\pi (3/4)^2}{4}) + \sigma_{c} ((8)(8)-4\cdot \frac{ \pi (3/4)^2}{4})$$ $$150kips=4 \cdot (\frac {29}{3.6} \cdot \sigma_c) (\frac {\pi (3/4)^2}{4}) + \sigma_{c} ((8)(8)-4\cdot \frac{ \pi (3/4)^2}{4})$$ Solving $\sigma_c$, we obtain: $$\sigma_c = \boxed{1.962ksi}$$ $$\sigma_{st} = \frac {29}{3.6} \cdot 1.962ksi=\boxed{15.81ksi}$$

Statically Indeterminate Members | Mechanics of Deformable Bodies – Problem 2: – Diagram Statically Indeterminate Members | Mechanics of Deformable Bodies – Problem 2: – Diagram Statically Indeterminate Members | Mechanics of Deformable Bodies – Problem 2: – Diagram Statically Indeterminate Members | Mechanics of Deformable Bodies – Problem 2: – Diagram

Problem 3: Stresses in Circular Concrete Post Reinforced with Steel Bars

A 1.5-m concrete post with a diameter of 450mm is reinforced with six steel bars, each with a diameter of 28mm. Est=200GPa and Ec=25GPa. A 1550-kN axial centric force P is applied to the post.

Statically Indeterminate Members | Mechanics of Deformable Bodies – Problem 3: – Diagram Statically Indeterminate Members | Mechanics of Deformable Bodies – Problem 3: – Diagram Statically Indeterminate Members | Mechanics of Deformable Bodies – Problem 3: – Diagram

See images:

Statically Indeterminate Members | Mechanics of Deformable Bodies – Problem 3: – Diagram Statically Indeterminate Members | Mechanics of Deformable Bodies – Problem 3: – Diagram Statically Indeterminate Members | Mechanics of Deformable Bodies – Problem 3: – Diagram Statically Indeterminate Members | Mechanics of Deformable Bodies – Problem 3: – Diagram

Problem 4: Maximum Axial Load that can be Applied on a Composite Bar

The composite bar, firmly attached to unyielding supports, is initially stress-free. What maximum axial load P can be applied if the allowable stresses are 10 ksi for aluminum and 18 ksi for steel?

Statically Indeterminate Members | Mechanics of Deformable Bodies – Problem 4: – Diagram Statically Indeterminate Members | Mechanics of Deformable Bodies – Problem 4: – Diagram Statically Indeterminate Members | Mechanics of Deformable Bodies – Problem 4: – Diagram

See images:

Statically Indeterminate Members | Mechanics of Deformable Bodies – Problem 4: – Diagram Statically Indeterminate Members | Mechanics of Deformable Bodies – Problem 4: – Diagram Statically Indeterminate Members | Mechanics of Deformable Bodies – Problem 4: – Diagram Statically Indeterminate Members | Mechanics of Deformable Bodies – Problem 4: – Diagram

Problem 5: Three Steel Rods | Composite Bar Axial Forces

The steel rod is stress-free before the axial loads P1 =150 kN and P2 = 90 kN are applied to the rod. Assuming that the walls are rigid, calculate the axial force in each segment after the loads are applied. Use E = 200 GPa.

Statically Indeterminate Members | Mechanics of Deformable Bodies – Problem 5: – Diagram Statically Indeterminate Members | Mechanics of Deformable Bodies – Problem 5: – Diagram Statically Indeterminate Members | Mechanics of Deformable Bodies – Problem 5: – Diagram

See images:

Statically Indeterminate Members | Mechanics of Deformable Bodies – Problem 5: – Diagram Statically Indeterminate Members | Mechanics of Deformable Bodies – Problem 5: – Diagram Statically Indeterminate Members | Mechanics of Deformable Bodies – Problem 5: – Diagram Statically Indeterminate Members | Mechanics of Deformable Bodies – Problem 5: – Diagram

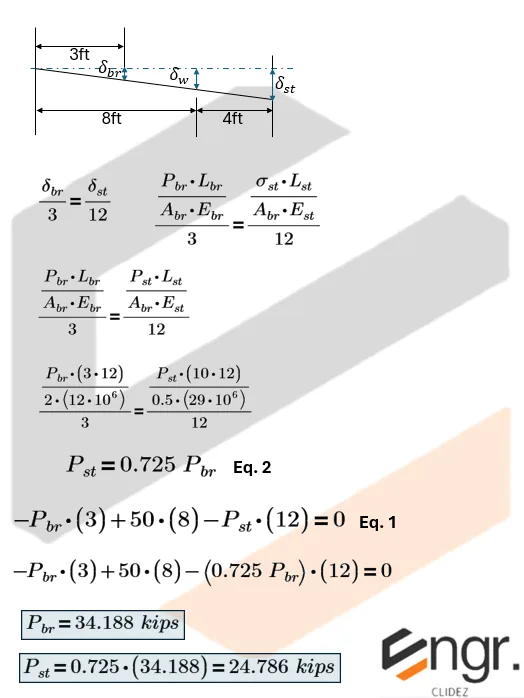
Problem 6: Vertical Displacement at the Location of the Weight

The rigid beam of negligible weight is supported by a pin at O and two vertical rods. Find the vertical displacement of the 50-kip weight.

Statically Indeterminate Members | Mechanics of Deformable Bodies – Problem 6: – Diagram Statically Indeterminate Members | Mechanics of Deformable Bodies – Problem 6: – Diagram Statically Indeterminate Members | Mechanics of Deformable Bodies – Problem 6: – Diagram

See images:

Statically Indeterminate Members | Mechanics of Deformable Bodies – Problem 6: – Diagram Statically Indeterminate Members | Mechanics of Deformable Bodies – Problem 6: – Diagram Statically Indeterminate Members | Mechanics of Deformable Bodies – Problem 6: – Diagram Statically Indeterminate Members | Mechanics of Deformable Bodies – Problem 6: – Diagram

Problem 7:

Refer to the image shown:

Statically Indeterminate Members | Mechanics of Deformable Bodies – Problem 7: – Diagram Statically Indeterminate Members | Mechanics of Deformable Bodies – Problem 7: – Diagram Statically Indeterminate Members | Mechanics of Deformable Bodies – Problem 7: – Diagram

See images:

Statically Indeterminate Members | Mechanics of Deformable Bodies – Problem 7: – Diagram Statically Indeterminate Members | Mechanics of Deformable Bodies – Problem 7: – Diagram Statically Indeterminate Members | Mechanics of Deformable Bodies – Problem 7: – Diagram Statically Indeterminate Members | Mechanics of Deformable Bodies – Problem 7: – Diagram

Problem 8:

Refer to the image shown:

Statically Indeterminate Members | Mechanics of Deformable Bodies – Problem 8: – Diagram Statically Indeterminate Members | Mechanics of Deformable Bodies – Problem 8: – Diagram Statically Indeterminate Members | Mechanics of Deformable Bodies – Problem 8: – Diagram

See images:

Statically Indeterminate Members | Mechanics of Deformable Bodies – Problem 8: – Diagram Statically Indeterminate Members | Mechanics of Deformable Bodies – Problem 8: – Diagram Statically Indeterminate Members | Mechanics of Deformable Bodies – Problem 8: – Diagram Statically Indeterminate Members | Mechanics of Deformable Bodies – Problem 8: – Diagram
Scroll to zoom