CE Board Exam Randomizer

β¬… Back to Subject Topics

Analytic Geometry - Equations Involving Lines and Coordinates

1. Point–Slope Form

Concept
$$ m = \frac{y - y_1}{x - x_1} $$

2. Two-Point Form

Concept
$$ \frac{y - y_1}{x - x_1} = \frac{y_2 - y_1}{x_2 - x_1} $$

3. Slope Intercept Form (Determinant)

$$ \begin{vmatrix} x & y & 1 \\ x_1 & y_1 & 1 \\ x_2 & y_2 & 1 \end{vmatrix} = 0 $$

4. Slope-Intercept Equation

Concept
$$ y = mx + b $$

where $m$ = slope and $b$ = y-intercept.

5. Intercept Form

Concept
$$ \frac{x}{a} + \frac{y}{b} = 1 $$

6. General Equation of a Straight Line

$$ Ax + By + C = 0 $$

7. Distance from a Point $(x_1, y_1)$ to a Line

$$ d = \frac{|Ax_1 + By_1 + C|}{\sqrt{A^2 + B^2}} $$
Concept

8. Distance Between Parallel Lines

For lines $Ax + By + C_1 = 0$ and $Ax + By + C_2 = 0$:

Concept
$$ d = \frac{|C_2 - C_1|}{\sqrt{A^2 + B^2}} $$

9. Angle Between Two Lines Having Slopes $m_1$ and $m_2$

Concept
$$ \tan\theta = \frac{m_2 - m_1}{1 + m_1 m_2} $$

10. Bisector of Angles Between Two Lines

Concept
$$ d_1 = \frac{Ax_1 + By_1 + C}{\sqrt{A^2 + B^2}} $$
$$ d_2 = \frac{Ax_2 + By_2 + C}{\sqrt{A^2 + B^2}} $$

Bisector condition: $d_1 = d_2$.

11. Division of a Line Segment

Concept

If $K = \frac{P_1P}{PP_2}$, then:

$$ x = x_1 + K(x_2 - x_1) $$
$$ y = y_1 + K(y_2 - y_1) $$

12. Centroid of a Triangle

Concept

If $K = \frac{P_1P}{PP_2}$, then:

For $(x_1, y_1)$, $(x_2, y_2)$, $(x_3, y_3)$:

$$ x = \frac{x_1 + x_2 + x_3}{3} $$
$$ y = \frac{y_1 + y_2 + y_3}{3} $$

13. Slopes of Parallel Lines

$$ m_1 = m_2 $$

14. Slopes of Perpendicular Lines

$$ m_1 m_2 = -1 $$

Thus: $m_2 = -\frac{1}{m_1}$ (m2 is the negative reciprocal of m1)


15. Area of Polygons (Coordinate Method)

Concept

Related problems will be discussed in the problem sets.

$$ A = \frac{1}{2} \begin{vmatrix} x_1 & x_2 & x_3 & x_1 \\ y_1 & y_2 & y_3 & y_1 \end{vmatrix} $$

Area (Determinant Method)

$$ A = \frac{1}{2} \begin{vmatrix} x_1 & y_1 & 1 \\ x_2 & y_2 & 1 \\ x_3 & y_3 & 1 \end{vmatrix} $$

Problem Set - Lines and Coordinates

Problem 1:

Write the point-slope form and the slope intercept form of the equation of the line with a slope of 4 that passes through the point (-1,3).

Analytic Geometry – Problem 1: – Diagram Analytic Geometry – Problem 1: – Diagram Analytic Geometry – Problem 1: – Diagram

See images:

Analytic Geometry – Problem 1: – Diagram Analytic Geometry – Problem 1: – Diagram Analytic Geometry – Problem 1: – Diagram Analytic Geometry – Problem 1: – Diagram

Problem 2:

A logistic curve is the graph of an equation of the form where k, b, and c are positive constants. Such curves are useful for describing a population y that grows rapidly initially, but whose growth rate decreases after x reaches a certain value. In a famous study of the growth of protozoa by Gause, a population of Paramecium caudata was found to be described by the logitc equation with c=1.1244, k=105, and x time in days. Find b if the intial position was 3 protozoa.
Hint: $y=\frac{k}{1+be^{-cx}}$

Analytic Geometry – Problem 2: – Diagram Analytic Geometry – Problem 2: – Diagram Analytic Geometry – Problem 2: – Diagram

See images:

Analytic Geometry – Problem 2: – Diagram Analytic Geometry – Problem 2: – Diagram Analytic Geometry – Problem 2: – Diagram Analytic Geometry – Problem 2: – Diagram

Problem 3:

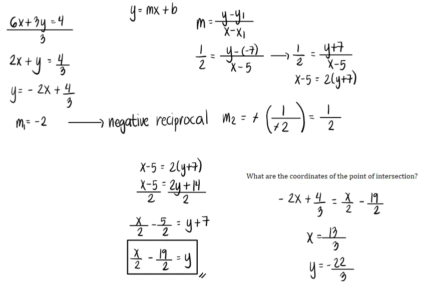
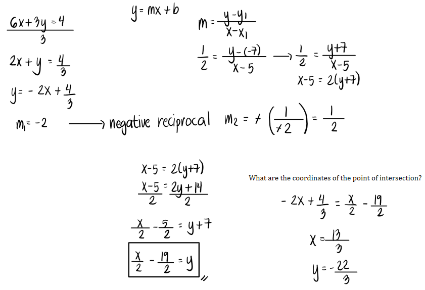
Find the slope-intercept form of the line that passes through (5,-7) that is perpendicular to the line 6x+3y=4. At what point do these lines intersect?

Analytic Geometry – Problem 3: – Diagram Analytic Geometry – Problem 3: – Diagram Analytic Geometry – Problem 3: – Diagram

See images:

Analytic Geometry – Problem 3: – Diagram Analytic Geometry – Problem 3: – Diagram Analytic Geometry – Problem 3: – Diagram Analytic Geometry – Problem 3: – Diagram

Problem 4:

Given A(-3,1) and B(5,4), find the general form of the perpendicular bisector L of the line segment AB.

Analytic Geometry – Problem 4: – Diagram Analytic Geometry – Problem 4: – Diagram Analytic Geometry – Problem 4: – Diagram

See images:

Analytic Geometry – Problem 4: – Diagram Analytic Geometry – Problem 4: – Diagram Analytic Geometry – Problem 4: – Diagram Analytic Geometry – Problem 4: – Diagram

Problem 5:

With wireless internet gaining popularity, the number of public wireless internet access points (in thousands) is projected to grow from 2003 to 2008 according to the equation -66x+2y=84, where is is the number of years after 2003. Find the slope and y-intercept of the line equation.

Analytic Geometry – Problem 5: – Diagram Analytic Geometry – Problem 5: – Diagram Analytic Geometry – Problem 5: – Diagram

See images:

Analytic Geometry – Problem 5: – Diagram Analytic Geometry – Problem 5: – Diagram Analytic Geometry – Problem 5: – Diagram Analytic Geometry – Problem 5: – Diagram

Problem 6:

The quantity of a product that consumers purchase depends on its price, with higher prices leading to fewer sales. The table below shows the price of a video and the quantity of that video sold on a weekly basis in a store.

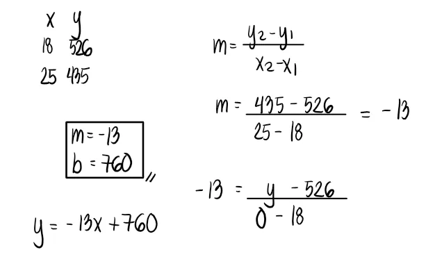
x (Price of the video) \$18 \$25
y (No. of videos sold weekly) 526 435

Assuming that as price increases, the number sold weekly decreases steadily, use the linear function $y = mx + b$ to find the values of $m$ and $b$, thereby modeling video demand.

Analytic Geometry – Problem 6: – Diagram Analytic Geometry – Problem 6: – Diagram Analytic Geometry – Problem 6: – Diagram

See images:

Analytic Geometry – Problem 6: – Diagram Analytic Geometry – Problem 6: – Diagram Analytic Geometry – Problem 6: – Diagram Analytic Geometry – Problem 6: – Diagram

Problem 7:

The equations $5x + 2y = 48$ and $3x + 2y = 32$ represent the money collected from school concert ticket sales during the two class periods. If $x$ represents the cost for each adult ticket and $y$ represents the cost for each student ticket, what is the cost for each adult ticket?

Analytic Geometry – Problem 7: – Diagram Analytic Geometry – Problem 7: – Diagram Analytic Geometry – Problem 7: – Diagram

See images:

Analytic Geometry – Problem 7: – Diagram Analytic Geometry – Problem 7: – Diagram Analytic Geometry – Problem 7: – Diagram Analytic Geometry – Problem 7: – Diagram

Problem 8:

Find the area of a triangle whose vertices are A(-3,1), B(5,3), and (2,-8).

Analytic Geometry – Problem 8: – Diagram Analytic Geometry – Problem 8: – Diagram Analytic Geometry – Problem 8: – Diagram

Write the coordinates in two columns, x and y. Follow a clockwise or counterclockwise direction when writing the coordinates. In the last row, copy the coordinates of the first row. Then, multiply from left to right and subtract the result when multiplying from right to left. Add all of the values and divide the result by 2. We use an absolute value sign as area cannot be negative.

Analytic Geometry – Problem 8: – Diagram Analytic Geometry – Problem 8: – Diagram Analytic Geometry – Problem 8: – Diagram Analytic Geometry – Problem 8: – Diagram

Problem 9:

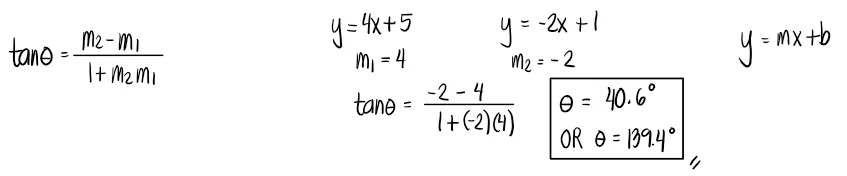
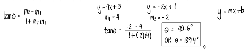
What is the angle between the lines y-4x-5=0 and y+2x-1=0?

Analytic Geometry – Problem 9: – Diagram Analytic Geometry – Problem 9: – Diagram Analytic Geometry – Problem 9: – Diagram

Analytic Geometry – Problem 9: – Diagram

Note that there are two possible answers because there is an acute and obtuse angle between the two lines.

Analytic Geometry – Problem 9: – Diagram Analytic Geometry – Problem 9: – Diagram Analytic Geometry – Problem 9: – Diagram

Problem 10:

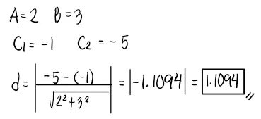
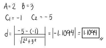
Find the distance between the lines 2x+3y=1 and 2x+3y=5.

Analytic Geometry – Problem 10: – Diagram Analytic Geometry – Problem 10: – Diagram Analytic Geometry – Problem 10: – Diagram

Analytic Geometry – Problem 10: – Diagram

We may also use the concept of moments in statics of rigid bodies. Treat one line as a unit force and take moments about the second line, vertically or horizontally, depending on preference. The vertical or horizontal distance can be obtained by y2-y1 or x2-x1. This moment shall equal the unit force multiplied by the perpendicular distance (which is the distance between the two lines).

Analytic Geometry – Problem 10: – Diagram Analytic Geometry – Problem 10: – Diagram Analytic Geometry – Problem 10: – Diagram

Conic Sections

Conic Sections β€” Definitions, Locus, and General Equation

General Second-Degree Equation of a Conic

Any conic section can be represented by the general quadratic equation:

$$ Ax^2 + Bxy + Cy^2 + Dx + Ey + F = 0 $$

The presence of the $Bxy$ term indicates a possible rotation of axes. Circles, ellipses, parabolas, and hyperbolas can all appear rotated when $B \neq 0$.

How to Distinguish Conics Using A, B, and C

Ignoring rotation (or after rotating axes so that $B = 0$), the nature of the conic is determined by the signs of $A$ and $C$:

With rotation included ($B \neq 0$), the classification is done using the discriminant:

$$ \Delta = B^2 - 4AC $$

1. Circle

Concept

A circle is the locus of all points that are a fixed distance (radius) from a fixed point (center).

Standard form:

$$ (x - h)^2 + (y - k)^2 = r^2 $$

(h,k) is the center of the circle

2. Parabola

A parabola is the locus of all points equidistant from a fixed point (focus) and a fixed line (directrix).

Standard forms:

Horizontal axis:

$$ (y-k)^2 = 4a(x-h) $$
Concept

Vertical axis:

$$ (x-h)^2 = 4a(y-k) $$
Concept

(h,k) is the vertex of the parabola

3. Ellipse

An ellipse is the locus of all points for which the sum of the distances to two fixed points (foci) is constant.

Standard form (horizontal major axis):

$$ \frac{(x-h)^2}{a^2} + \frac{(y-k)^2}{b^2} = 1 $$
Concept Concept

where $a^2 = b^2 + c^2$.

The center of the ellipse is at $(h,k)$.
Note: $a^2$ and $b^2$ may interchange depending on the location of the major axis.

Latus rectum (latera recta) of an ellipse:

$$ L = \frac{2b^2}{a} $$

4. Hyperbola

A hyperbola is the locus of all points for which the absolute difference of the distances to two fixed points (foci) is constant.

Standard form (horizontal transverse axis):

$$ \frac{(x-h)^2}{a^2} - \frac{(y-k)^2}{b^2} = 1 $$
Concept

where $c^2 = a^2 + b^2$.

Standard form (vertical transverse axis):

Concept
$$ \frac{(y-k)^2}{a^2} - \frac{(x-h)^2}{b^2} = 1 $$

where $c^2 = a^2 + b^2$.

The center of the hyperbola is at $(h,k)$.
Note: Equilateral hyperbolas are hyperbolas whose transverse and conjugate axes have the same length and whose asymptotes are perpendicular to each other.

Equation of asymptotes

$$ y - k = \pm \frac{a}{b}(x - h) $$

Latus rectum (latera recta) of a hyperbola:

$$ L = \frac{2b^2}{a} $$

Eccentricity of Conic Sections

The eccentricity of a conic section describes the shape and β€œflatness” of the curve. It is defined as:

$$ e = \frac{\text{distance to focus}}{\text{distance to directrix}} $$

This value fully determines the nature of the conic:


1. Eccentricity of an Ellipse

For the ellipse $$ \frac{(x-h)^2}{a^2} + \frac{(y-k)^2}{b^2} = 1, $$ the first eccentricity is:

$$ e = \frac{c}{a} \qquad \text{where } c^2 = a^2 - b^2 $$

The eccentricity describes flatness:


2. Second Eccentricity of an Ellipse

An alternate measure of shape is the second eccentricity:

$$ e' = \frac{c}{b} $$

Using $c^2 = a^2 - b^2$, we may also write:

$$ e' = \sqrt{\frac{a^2}{b^2} - 1} $$

3. Distance From Center to the Directrix of an Ellipse

The directrices of the ellipse lie at the distance:

$$ d = \frac{a^2}{c} = \frac{a}{e} $$

measured horizontally from the center.

Derivation

Start with the eccentricity definition:

$$ e = \frac{c}{a}. $$

A point $P$ on the ellipse satisfies:

$$ \frac{\text{distance to focus}}{\text{distance to directrix}} = e. $$

Evaluating this at the vertex $(a,0)$ gives:

$$ \frac{a - c}{\frac{a^2}{c} - a} = \frac{c}{a}, $$

which simplifies to confirm the directrix location:

$$ x = \frac{a^2}{c}. $$

Thus:

$$ d = \frac{a^2}{c} = \frac{a}{e}. $$

Conic Sections and Locus Problem Set

Locus: Equidistant From Two Points

A point moves so that it is equidistant from the points $(1,4)$ and $(5,2)$. Find the equation of its locus.

Analytic Geometry – Locus: Equidistant From Two Points – Diagram
Analytic Geometry – Locus: Equidistant From Two Points – Diagram

Since the point $P(x,y)$ is equidistant from $(1,4)$ and $(5,2)$:

$$ \sqrt{(x-1)^2 + (y-4)^2} = \sqrt{(x-5)^2 + (y-2)^2} $$ Square both sides: $$ (x-1)^2 + (y-4)^2 = (x-5)^2 + (y-2)^2 $$ Expand: $$ x^2 - 2x + 1 + y^2 - 8y + 16 = x^2 - 10x + 25 + y^2 - 4y + 4 $$ Combine like terms: $$ 10x - 2x - 8y + 4y - 12 = 0 $$ Simplify: $$ 8x - 4y - 12 = 0 $$ Divide by 4: $$ 2x - y - 3 = 0 $$

The locus is the line:

$$ \boxed{2x - y - 3 = 0} $$

Locus: Distance to a Point is Half the Distance to a Line

Point $P(x,y)$ moves so that its distance from the point $(0,1)$ is one half of its distance from the line $y=4$. Compute the eccentricity of the resulting curve.

Analytic Geometry – Locus: Distance to a Point is Half the Distance to a Line – Diagram

The condition is:

$$ d_1 = \tfrac12 d_2 $$ Distance to the point $(0,1)$: $$ d_1 = \sqrt{(x-0)^2 + (y-1)^2} $$ Distance to the line $y=4$: $$ d_2 = |4 - y| $$ Impose the condition: $$ \sqrt{(x)^2 + (y-1)^2} = \tfrac12 (4 - y) $$ Square both sides: $$ x^2 + (y-1)^2 = \tfrac14 (4 - y)^2 $$ Expand: $$ x^2 + y^2 - 2y + 1 = \tfrac14 (16 - 8y + y^2) $$ Multiply both sides by 4: $$ 4x^2 + 4y^2 - 8y + 4 = 16 - 8y + y^2 $$ Simplifying, we obtain the equation of an ellipse. $$ 4x^2 + 3y^2 = 12 $$ Divide by 12: $$ \frac{x^2}{3} + \frac{y^2}{4} = 1 $$ Thus the ellipse has center $(0,0)$, with: $$ a = 2,\quad b = \sqrt{3} $$ Compute $c$: $$ c^2 = a^2 - b^2 = 4 - 3 = 1 $$ $$ c = 1 $$ Eccentricity: $$ e = \frac{c}{a} = \frac12 $$

Therefore, the eccentricity is:

$$ \boxed{\frac12} $$

Problem: Equation of a Circle with Given Center and Tangent to a Given Line

Find the equation of the circle with center at (-3,8) and tangent to the line x-y+5=0.

Analytic Geometry – Problem: Equation of a Circle with Given Center and Tangent to a Given Line – Diagram Analytic Geometry – Problem: Equation of a Circle with Given Center and Tangent to a Given Line – Diagram Analytic Geometry – Problem: Equation of a Circle with Given Center and Tangent to a Given Line – Diagram

Analytic Geometry – Problem: Equation of a Circle with Given Center and Tangent to a Given Line – Diagram Analytic Geometry – Problem: Equation of a Circle with Given Center and Tangent to a Given Line – Diagram Analytic Geometry – Problem: Equation of a Circle with Given Center and Tangent to a Given Line – Diagram Analytic Geometry – Problem: Equation of a Circle with Given Center and Tangent to a Given Line – Diagram

Problem: Length of the Tangent to a Circle

Determine the length of the tangent to the circle x2+y2-4x-5=0 from (8,-2).

Analytic Geometry – Problem: Length of the Tangent to a Circle – Diagram Analytic Geometry – Problem: Length of the Tangent to a Circle – Diagram Analytic Geometry – Problem: Length of the Tangent to a Circle – Diagram

Analytic Geometry – Problem: Length of the Tangent to a Circle – Diagram Analytic Geometry – Problem: Length of the Tangent to a Circle – Diagram Analytic Geometry – Problem: Length of the Tangent to a Circle – Diagram Analytic Geometry – Problem: Length of the Tangent to a Circle – Diagram

Locus of a Moving Point that Forms a Triangle of Specific Area

Find the locus of a moving point which forms a triangle of area 21 square units with the point (2, -7) and (-4, 3).
Ans. 5x+3y+32=0 or 5x+3y-10=0

Analytic Geometry – Locus of a Moving Point that Forms a Triangle of Specific Area – Diagram Analytic Geometry – Locus of a Moving Point that Forms a Triangle of Specific Area – Diagram Analytic Geometry – Locus of a Moving Point that Forms a Triangle of Specific Area – Diagram

Analytic Geometry – Locus of a Moving Point that Forms a Triangle of Specific Area – Diagram Analytic Geometry – Locus of a Moving Point that Forms a Triangle of Specific Area – Diagram Analytic Geometry – Locus of a Moving Point that Forms a Triangle of Specific Area – Diagram Analytic Geometry – Locus of a Moving Point that Forms a Triangle of Specific Area – Diagram

Equation of the Curve Connecting Centers of Circles Tangent to the Fixed Circle and the x-axis

There is a fixed circle having a radius of 6 with center at (10, 12). Find the equation of the curve connecting the centers of all circles that are tangent to the fixed circle and the x axis.

Analytic Geometry – Equation of the Curve Connecting Centers of Circles Tangent to the Fixed Circle and the x-axis – Diagram Analytic Geometry – Equation of the Curve Connecting Centers of Circles Tangent to the Fixed Circle and the x-axis – Diagram Analytic Geometry – Equation of the Curve Connecting Centers of Circles Tangent to the Fixed Circle and the x-axis – Diagram

Analytic Geometry – Equation of the Curve Connecting Centers of Circles Tangent to the Fixed Circle and the x-axis – Diagram Analytic Geometry – Equation of the Curve Connecting Centers of Circles Tangent to the Fixed Circle and the x-axis – Diagram Analytic Geometry – Equation of the Curve Connecting Centers of Circles Tangent to the Fixed Circle and the x-axis – Diagram Analytic Geometry – Equation of the Curve Connecting Centers of Circles Tangent to the Fixed Circle and the x-axis – Diagram

Observation: The equation is quadratic in $x$ but only first degree in $y$. A curve of the form $$Ax^2 + Ey + F = 0$$ is a parabola. Hence, the locus is a parabola.

Common Tangent of Two Circles (CE Board May 2015)

Given the equations of two circles:

C₁:   xΒ² + yΒ² + 2x + 4y βˆ’ 3 = 0
Cβ‚‚:   xΒ² + yΒ² βˆ’ 8x βˆ’ 6y + 7 = 0

Determine the equation of the common tangent at their point of contact.

Analytic Geometry – Common Tangent of Two Circles (CE Board May 2015) – Diagram

Step 1: Subtract the equations of the two circles

C₁:  xΒ² + yΒ² + 2x + 4y βˆ’ 3 = 0  
Cβ‚‚:  xΒ² + yΒ² βˆ’ 8x βˆ’ 6y + 7 = 0
--------------------------------
       10x + 10y βˆ’ 10 = 0
    

Simplifying:

$\boxed{x + y = 1}$

This line is the common tangent at the point of contact.

When two circles are tangent internally or externally, their point of tangency lies on a line that is perpendicular to the line joining the centers. The key idea: The difference of the equations of two circles gives the radical axisβ€”the locus of points having equal power with respect to both circles.

If two circles intersect at two points, the radical axis is their common chord. But if the circles touch at exactly one point (tangent), the radical axis collapses to the common tangent at the point of contact.

Therefore, since subtracting Cβ‚‚ from C₁ yields a linear equation, it must represent the common tangent.

Solution Steps

Finding the y-coordinate of the Point of Tangency

A circle has its center at (2, 3). If the circle is tangent to the y-axis and a tangent line has its point of tangency at P(3, y), determine the value of y.

Analytic Geometry – Finding the y-coordinate of the Point of Tangency – Diagram

Step 1: Determine the radius using the tangency to the y-axis

The distance from the center $(2,3)$ to the y-axis $(x = 0)$ is: $$ r = |2| = 2 $$

Step 2: Use the right triangle formed by the center and point of tangency

Let the point of tangency be $P(3, y)$. The horizontal distance from the center to $P$ is: $$ 3 - 2 = 1 $$

Let the vertical distance be $h$. Using the Pythagorean relationship: $$ h^2 + 1^2 = r^2 $$ $$ h^2 + 1 = 4 $$ $$ h^2 = 3 $$ $$ h = \sqrt{3} $$

Step 3: Compute the y-coordinate

$$ y = 3 + h $$ $$ y = 3 + \sqrt{3} $$

Final Answer:

$$ \boxed{y = 3 + \sqrt{3}} $$

Finding the Value of k for a Circle Passing Through a Given Point

For what value of k does the circle $ (x + 2k)^2 + (y - 3k)^2 = 10 $ pass through the point (1,0)?

Substitute the point (1,0) into the circle equation:

\[ (1 + 2k)^2 + (0 - 3k)^2 = 10 \]

Expand each term:

\[ (1 + 2k)^2 = 1 + 4k + 4k^2 \] \[ (-3k)^2 = 9k^2 \]

Sum them:

\[ 1 + 4k + 4k^2 + 9k^2 = 10 \]

Combine like terms:

\[ 13k^2 + 4k + 1 = 10 \]

Move 10 to the left:

\[ 13k^2 + 4k - 9 = 0 \]

Solve the quadratic:

\[ k = \frac{-4 \pm \sqrt{4^2 - 4(13)(-9)}}{2(13)} \] \[ k = \frac{-4 \pm \sqrt{16 + 468}}{26} \] \[ k = \frac{-4 \pm \sqrt{484}}{26} \] \[ k = \frac{-4 \pm 22}{26} \]

Thus, the two possible values are:

\[ k = \frac{18}{26} = \frac{9}{13}, \qquad k = \frac{-26}{26} = -1 \]

Final Answer:

\[ \boxed{k = -1 \quad \text{or} \quad k = \frac{9}{13}} \]

Analytic Geometry – Finding the Value of k for a Circle Passing Through a Given Point – Diagram

Farthest Distance from a Point to a Circle

Determine the farthest distance from the point $(8,10)$ to the circle $x^2 + y^2 = 16y.$

Analytic Geometry – Farthest Distance from a Point to a Circle – Diagram

Step 1: Rewrite the circle in standard form

$$x^2 + y^2 - 16y = 0$$ Complete the square: $$x^2 + (y^2 - 16y + 64) = 64$$ $$(y - 8)^2 + x^2 = 8^2$$ The center is $(0,8)$ and the radius is $$r = 8.$$

Step 2: Find the distance from the point to the center

$$d_1 = \sqrt{(8 - 0)^2 + (10 - 8)^2}$$ $$d_1 = \sqrt{64 + 4} = \sqrt{68} = 8.25$$

Step 3: Farthest distance = center-to-point distance + radius

$$d_2 = d_1 + r$$ $$d_2 = 8.25 + 8 = 16.25$$

Final Answer:

$$\boxed{16.25}$$

Distance From the Center of a Parabolic Dish to Its Focus

The interior of a satellite TV antenna is a dish shaped like a finite paraboloid. The dish has a diameter of 12 meters and is 2 meters deep. Find the distance from the center of the dish to the focus.

Analytic Geometry – Distance From the Center of a Parabolic Dish to Its Focus – Diagram

A vertical parabola opening to the right has the form $$y^2 = 4ax$$

The radius of the dish is half the diameter: $$6 \text{ meters}$$ The depth of the dish is $$2 \text{ meters}$$

Substitute the point on the rim of the parabola: $$y = 6, \quad x = 2.$$

Plug into the parabola equation: $$(6)^2 = 4a(2)$$ $$36 = 8a$$ $$a = 4.5.$$

Final Answer:

$$\boxed{4.5 \text{ meters}}$$

Focus and Directrix of the Parabola

Find the focus and directrix of the parabola whose equation is $y = x^2$

Analytic Geometry – Focus and Directrix of the Parabola – Diagram

Write the parabola in the form $y = 4ax^2$

Compare coefficients: $4a = 1$
$a = \frac{1}{4}$

The focus of $y = 4ax^2$ is $(0, a) = \left(0, \frac{1}{4}\right)$

The directrix is $y = -a = -\frac{1}{4}$

Final Answers:

$ \text{Focus: } \left(0, \frac{1}{4}\right) $ $ \text{Directrix: } y = -\frac{1}{4} $

Height of the Gateway Arch at a Point 100 ft From Its Foundation

The shape of the Gateway Arch in St. Louis is approximately a parabola with a base of 630 ft and a height of 630 ft. How high is the arch 100 feet from its foundation?

Using similar triangles: $\dfrac{315^2}{630} = \dfrac{215^2}{630 - y}$

Solve for $y$:

$630 - y = 293.49$ $y = 336.50$

Final Answer:

$\boxed{337\ \text{ft}}$

Equation of a Suspension Bridge Cable and Its Height 30 m From the Center

The cables of a horizontal suspension bridge are supported by two towers 120 m apart and 40 m high. If the cable is 10 m above the floor of the bridge at the center and the midpoint of the bridge is taken as the origin, find the equation of the parabola and the vertical distance above the bridge floor to the cable at a distance of 30 m from the center.

Analytic Geometry – Equation of a Suspension Bridge Cable and Its Height 30 m From the Center – Diagram

Vertex at the origin gives the form $x^2 = 4a(y - 10)$

At the tower location, $x = 60$ and $y = 40$:

$60^2 = 4a(40 - 10)$ $3600 = 120a$ $a = 30$

Substitute $a$ back into the parabola:

$x^2 = 120(y - 10)$ $x^2 = 120y - 1200$

To find the height at $x = 30$:

$30^2 = 120y - 1200$ $900 = 120y - 1200$ $120y = 2100$ $y = 17.5\ \text{m}$

Final Answers:

Equation of the cable: $x^2 = 120(y - 10)$
Height at 30 m from center: $17.5\ \text{m}$

Ceiling Height in a Parabolic Hut

A construction worker built a parabolic hut which is 16.1 m wide at the base and 12.4 m high at the center. How high above the base should a ceiling 12.2 m wide be constructed?

Analytic Geometry – Ceiling Height in a Parabolic Hut – Diagram

By the squared property of a parabola: $\dfrac{8.05^2}{12.4} = \dfrac{6.1^2}{y}$

Solve for $y$:

$y = 7.12$

Ceiling height above the base: $h = 12.4 - 7.12$ $h = 5.28\ \text{m}$

Final Answer:

$\boxed{5.28\ \text{m}}$

Equation of a Parabola in the Form $y = ax^2 + bx + c$

A parabola has vertex $V(-4, 2)$ and directrix $y = 5$. Express the equation of the parabola in the form $y = ax^2 + bx + c$.

Analytic Geometry – Equation of a Parabola in the Form $y = ax^2 + bx + c$ – Diagram

A vertical parabola opening downward has the form $$ (x - h)^2 = -4a(y - k) $$
This opens downward because the parabola always faces away from the directrix. Since the directrix is above y=2 (vertex), the parabola is concave downward.

Substituting the vertex $(-4, 2)$: $$ (x + 4)^2 = -4a(y - 2) $$

Distance from vertex to directrix: $$ 5 - 2 = 3 $$ so $a = 3$.

Substitute $a = 3$: $$ (x + 4)^2 = -4(3)(y - 2) $$

Expand:

$$ x^2 + 8x + 16 = -12y + 24 $$

Rearrange:

$$ 12y = -x^2 - 8x + 8 $$

Divide by 12:

$$ y = -\frac{x^2}{12} - \frac{2}{3}x + \frac{2}{3} $$

Final Answer:

$$\boxed {y = -\frac{x^2}{12} - \frac{2}{3}x + \frac{2}{3}} $$

Solving for $k$ in the Parabola $y = a(x + h)^2 + k$

A parabola has an equation $y = 2x^2 + 4x + 5$ and an equivalent equation in the form $y = a(x + h)^2 + k$. Solve for $k$.

$y = 2x^2 + 4x + 5$

$y = 2(x^2 + 2x) + 5$

$y = 2(x^2 + 2x + 1) + 5 - 2$

$y = 2(x + 1)^2 + 7$

Compare to $y = a(x + h)^2 + k$:

$\boxed{k = 7}$

Vertex of the Parabola $y = -x^2 - 2x + 8$

A parabola has an equation $y = -x^2 - 2x + 8$. Find the coordinates of the vertex of the parabola.

Analytic Geometry – Vertex of the Parabola $y = -x^2 - 2x + 8$ – Diagram

For a parabola $y = ax^2 + bx + c$, the $x$-coordinate of the vertex is $$x = -\frac{b}{2a}$$

Here, $a = -1$ and $b = -2$.

$$x = -\frac{-2}{2(-1)}$$ $$x = -1$$

Substitute $x = -1$ into the equation:

$y = -(-1)^2 - 2(-1) + 8$ $y = -1 + 2 + 8$ $y = 9$

Final Answer:

$$\boxed{(-1,\, 9)}$$

Equation of a Parabola With Vertex $V(2,3)$ and Passing Through $(5,1)$

Find an equation of a parabola that has vertex $V(2,3)$, has a vertical axis (note: this means a vertical axis of symmetry), and passes through the point $(5,1)$.

Analytic Geometry – Equation of a Parabola With Vertex $V(2,3)$ and Passing Through $(5,1)$ – Diagram

Vertex form for a vertically oriented parabola: $$ (x - h)^2 = -4a(y - k) $$

Here, $h = 2$ and $k = 3$.

Substitute the point $(5,1)$: $$ (5 - 2)^2 = -4a(1 - 3) $$

$$ 9 = 8a $$ $$ a = \frac{9}{8} $$

Substitute $a$ back into the vertex form:

$$ y - 3 = -\frac{2}{9}(x - 2)^2 $$

Final equation:

$$ y = -\frac{2}{9}(x - 2)^2 + 3 $$

Final Answer:

$$ \boxed{\,y = -\frac{2}{9}(x - 2)^2 + 3\,} $$

Find the Vertex of the Parabola $y = 2x^2 - 6x + 4$

Analytic Geometry – Find the Vertex of the Parabola $y = 2x^2 - 6x + 4$ – Diagram
Analytic Geometry – Find the Vertex of the Parabola $y = 2x^2 - 6x + 4$ – Diagram

For a parabola $y = ax^2 + bx + c$: $$x_\text{vertex} = -\frac{b}{2a}$$

Here, $a = 2$ and $b = -6$.

Since a>0 (the parabola opens upward)

$$x = -\frac{-6}{2(2)} = \frac{3}{2}$$

Substitute $x = \tfrac{3}{2}$ into $y = 2x^2 - 6x + 4$:

$$y = 2\left(\frac{3}{2}\right)^2 - 6\left(\frac{3}{2}\right) + 4$$

$$y = 2\left(\frac{9}{4}\right) - 9 + 4$$ $$y = \frac{9}{2} - 5$$ $$y = -\frac{1}{2}$$

Final Answer:

$$\boxed{\left(\frac{3}{2},\ -\frac{1}{2}\right)}$$

Find the Equation, Focus, and Latus Rectum of a Parabola

Find an equation of a parabola with vertex $(2, -3)$ and directrix $y = 4$. Determine also the focus of the parabola and its latus rectum.

Analytic Geometry – Find the Equation, Focus, and Latus Rectum of a Parabola – Diagram
Analytic Geometry – Find the Equation, Focus, and Latus Rectum of a Parabola – Diagram

The vertex is $(h, k) = (2, -3)$ and the directrix is $y = 4$. The distance from the vertex to the directrix is: $$4 - (-3) = 7$$ So $a = 7$.

Equation of a vertical parabola opening downward: $$ (x - h)^2 = -4a(y - k) $$

Substituting $h = 2$, $k = -3$, and $a = 7$:

$$ (x - 2)^2 = -4(7)(y + 3) $$ $$ (x - 2)^2 = -28(y + 3) $$

Focus:

The focus lies $a$ units below the vertex (downward opening):

$$F(2,\ -3 - 7) = (2,\ -10)$$

Latus Rectum:

$$L = 4a = 4(7) = 28$$

Final Answers:

$$\boxed{(x - 2)^2 = -28(y + 3)}$$ $$\boxed{F(2,-10)}$$ $$\boxed{L = 28}$$

Equation of an Ellipse with Given Vertices and Foci

Find an equation of the ellipse with vertices $(\pm 4, 0)$ and foci $(\pm 2, 0)$.

Analytic Geometry – Equation of an Ellipse with Given Vertices and Foci – Diagram
Analytic Geometry – Equation of an Ellipse with Given Vertices and Foci – Diagram

Standard form of a horizontal ellipse centered at the origin: $$ \frac{x^2}{a^2} + \frac{y^2}{b^2} = 1 $$

The vertices are at $(\pm 4, 0)$, so $$ a = 4 $$

The foci are at $(\pm 2, 0)$, so $$ c = 2 $$

Relationship for ellipses: $$ a^2 = b^2 + c^2 $$

Substitute values: $$ 4^2 = b^2 + 2^2 $$ $$ 16 = b^2 + 4 $$ $$ b^2 = 12 $$

Final Equation:

$$ \boxed{\frac{x^2}{16} + \frac{y^2}{12} = 1} $$

Equation of an Ellipse with Focus at $(2,0)$ and x-intercept 5

Find an equation of the ellipse that has $(2,0)$ as a focus and an $x$-intercept of $5$.

Analytic Geometry – Equation of an Ellipse with Focus at $(2,0)$ and x-intercept 5 – Diagram
Analytic Geometry – Equation of an Ellipse with Focus at $(2,0)$ and x-intercept 5 – Diagram

The ellipse is horizontal and centered at the origin, so its equation is $$ \frac{x^2}{a^2} + \frac{y^2}{b^2} = 1 $$

Since the ellipse has an $x$-intercept of $5$, $$ a = 5 $$

Given a focus at $(2,0)$, $$ c = 2 $$

For ellipses: $$ b^2 = a^2 - c^2 $$

Substitute values: $$ b^2 = 25 - 4 $$ $$ b^2 = 21 $$

Final Equation:

$$ \boxed{\frac{x^2}{25} + \frac{y^2}{21} = 1} $$

Equations for the Upper, Lower, Left, and Right Halves of the Ellipse $9x^2 + 4y^2 = 25$

Analytic Geometry – Equations for the Upper, Lower, Left, and Right Halves of the Ellipse $9x^2 + 4y^2 = 25$ – Diagram
Analytic Geometry – Equations for the Upper, Lower, Left, and Right Halves of the Ellipse $9x^2 + 4y^2 = 25$ – Diagram

Start with the ellipse equation: $$9x^2 + 4y^2 = 25$$

Solve for $y$ to obtain the upper and lower halves:

$$4y^2 = 25 - 9x^2$$ $$y^2 = \frac{25 - 9x^2}{4}$$ $$y = \pm \frac{1}{2}\sqrt{25 - 9x^2}$$

Upper half:

$$y = \frac{1}{2}\sqrt{25 - 9x^2}$$

Lower half:

$$y = -\frac{1}{2}\sqrt{25 - 9x^2}$$ Analytic Geometry – Equations for the Upper, Lower, Left, and Right Halves of the Ellipse $9x^2 + 4y^2 = 25$ – Diagram

Left and Right Halves

Solve for $x$:

$$9x^2 = 25 - 4y^2$$ $$x^2 = \frac{25 - 4y^2}{9}$$ $$x = \pm \frac{1}{3}\sqrt{25 - 4y^2}$$

Left half:

$$x = -\frac{1}{3}\sqrt{25 - 4y^2}$$

Right half:

$$x = \frac{1}{3}\sqrt{25 - 4y^2}$$ Analytic Geometry – Equations for the Upper, Lower, Left, and Right Halves of the Ellipse $9x^2 + 4y^2 = 25$ – Diagram

Final Answers:

Upper half: $$\boxed{y = \frac{1}{2}\sqrt{25 - 9x^2}}$$ Lower half: $$\boxed{y = -\frac{1}{2}\sqrt{25 - 9x^2}}$$ Left half: $$\boxed{x = -\frac{1}{3}\sqrt{25 - 4y^2}}$$ Right half: $$\boxed{x = \frac{1}{3}\sqrt{25 - 4y^2}}$$

Eccentricity of a Satellite Orbit from Apogee and Perigee Distances

An earth satellite has an apogee of 2450 miles and a perigee of 410 miles. Assuming the earth’s radius is 400 miles, find the eccentricity of the ellipse whose center is at the earth's center and whose apogee and perigee satisfy these conditions.

Analytic Geometry – Eccentricity of a Satellite Orbit from Apogee and Perigee Distances – Diagram
Analytic Geometry – Eccentricity of a Satellite Orbit from Apogee and Perigee Distances – Diagram

Total major axis length:

$$2a = 410 + 400 + 400 + 2450$$ $$2a = 3660$$ $$a = 1830$$

Distance between center and perigee:

$$c = a - 810$$ $$c = 1830 - 810$$ $$c = 1020$$

Using $c = ae$:

$$1020 = 1830e$$ $$e = 0.557$$

Final Answer:

$$\boxed{e = 0.557}$$

Determine the Equation of the Curve Passing Through $(4,0)$ and $(0,3)$

A curve has a general equation $$Ax^2 + By^2 + F = 0.$$ Determine the equation of the curve which passes through the points $(4,0)$ and $(0,3)$.

Analytic Geometry – Determine the Equation of the Curve Passing Through $(4,0)$ and $(0,3)$ – Diagram
Analytic Geometry – Determine the Equation of the Curve Passing Through $(4,0)$ and $(0,3)$ – Diagram

Step 1: Substitute $(4,0)$ into the equation.

$$A(4)^2 + B(0)^2 + F = 0$$ $$16A + F = 0$$ $$\frac{F}{A} = -16$$

Step 2: Substitute $(0,3)$.

$$A(0)^2 + B(3)^2 + F = 0$$ $$9B + F = 0$$ $$B = -\frac{F}{9}$$

Step 3: Divide original equation by $A$.

$$x^2 + \frac{B}{A}y^2 + \frac{F}{A} = 0$$

Substitute $\frac{F}{A} = -16$ and $\frac{B}{A} = \frac{16}{9}$:

$$x^2 + \frac{16}{9}y^2 - 16 = 0$$

Final Answer:

$$\boxed{9x^2 + 16y^2 - 144 = 0}$$

Clearance of a Truck Under a Semi-Elliptical Archway

A semi-elliptical archway has a height of 15 ft at the center and a width of 50 ft. The width consists of a two-lane road. A truck drives under the archway without crossing the road centerline. If the truck is 14 ft wide and 12 ft high, determine the clearance of the truck below the archway.

Analytic Geometry – Clearance of a Truck Under a Semi-Elliptical Archway – Diagram
Analytic Geometry – Clearance of a Truck Under a Semi-Elliptical Archway – Diagram

The ellipse equation is $$\frac{x^2}{a^2} + \frac{y^2}{b^2} = 1$$ Here, the semi-major axis is $a = 25$ ft and the semi-minor axis is $b = 15$ ft: $$\frac{x^2}{25^2} + \frac{y^2}{15^2} = 1$$

The truck's right side is 14 ft from the centerline, so evaluate the arch height at $x = 14$: $$\frac{14^2}{25^2} + \frac{y^2}{15^2} = 1$$

Solve for $y$: $$y^2 = 154.44$$ $$y = 12.43 \text{ ft}$$

The truck is 12 ft tall, so clearance is: $$h = 12.43 - 12 = 0.43 \text{ ft}$$

Final Answer:

$$\boxed{0.43\text{ ft of clearance}}$$

Angle Between a Hyperbola Asymptote and the x-axis

What is the angle in degrees between an asymptote of the hyperbola $x^2 - 4y^2 - 2x - 63 = 0$ and the x-axis?

Analytic Geometry – Angle Between a Hyperbola Asymptote and the x-axis – Diagram
Analytic Geometry – Angle Between a Hyperbola Asymptote and the x-axis – Diagram

Complete the square:

$$x^2 - 2x + 1 - 4y^2 - 63 = 1$$ $$(x - 2)^2 - 4y^2 = 64$$ $$\frac{(x - 2)^2}{64} - \frac{y^2}{16} = 1$$

Thus, $$a^2 = 64,\qquad b^2 = 16$$ $$a = 8,\qquad b = 4$$

For a horizontal hyperbola, the asymptote angle satisfies: $$\tan\theta = \frac{b}{a}$$

$$\tan\theta = \frac{4}{8} = \frac{1}{2}$$ $$\theta = 26.6^\circ$$

Final Answer:

$$\boxed{26.6^\circ}$$

Length of the Latus Rectum of a Hyperbola

The equation of an asymptote of a hyperbola is $y = 2x$, and it passes through the point $\left(\frac{5}{2},\, 3\right)$. Determine the length of the latus rectum.

Analytic Geometry – Length of the Latus Rectum of a Hyperbola – Diagram
Analytic Geometry – Length of the Latus Rectum of a Hyperbola – Diagram

Start with the standard hyperbola: $$\frac{x^2}{a^2} - \frac{y^2}{b^2} = 1$$

Substitute the point $\left(\frac{5}{2},\, 3\right)$:

$$ \frac{\left(\frac{5}{2}\right)^2}{a^2} - \frac{3^2}{b^2} = 1 $$ $$ \frac{25}{4a^2} - \frac{9}{b^2} = 1 $$

Since the asymptote has slope $m = 2$, $$m = \frac{b}{a} \quad\Rightarrow\quad b = 2a$$

Substitute $b = 2a$:

$$ \frac{25}{4a^2} - \frac{9}{(2a)^2} = 1 $$ $$ \frac{25}{4a^2} - \frac{9}{4a^2} = 1 $$ $$ \frac{16}{4a^2} = 1 $$ $$ a^2 = 4,\quad a = 2 $$

Then: $$b = 2a = 4$$

The hyperbola becomes: $$ \frac{x^2}{4} - \frac{y^2}{16} = 1 $$

Latus Rectum Length

For a horizontal hyperbola $\dfrac{x^2}{a^2} - \dfrac{y^2}{b^2} = 1$, the latus rectum length is: $$L = \frac{2b^2}{a}$$

$$ L = \frac{2(4^2)}{2} = \frac{2 \cdot 16}{2} = 16 $$

Final Answer:

$$\boxed{16}$$

Determine the Type of Curve Defined by $Ax^2 + By^2 + F = 0$

If the curve $Ax^2 + By^2 + F = 0$ passes through the points $(0,3)$ and $(4,6)$, what kind of curve is it?

Analytic Geometry – Determine the Type of Curve Defined by $Ax^2 + By^2 + F = 0$ – Diagram
Analytic Geometry – Determine the Type of Curve Defined by $Ax^2 + By^2 + F = 0$ – Diagram

Start with the general equation: $$Ax^2 + By^2 + F = 0$$ Divide by $A$: $$x^2 + \frac{B}{A}y^2 + \frac{F}{A} = 0$$

Substitute the point $(0,3)$:

$$ 0 + \frac{B}{A}(3^2) + \frac{F}{A} = 0 $$ $$ 9\frac{B}{A} + \frac{F}{A} = 0 $$ $$ \frac{F}{A} = -9\frac{B}{A} $$

Substitute the point $(4,6)$:

$$ (4)^2 + \frac{B}{A}(6^2) + \frac{F}{A} = 0 $$ $$ 16 + 36\frac{B}{A} + \frac{F}{A} = 0 $$ Substitute $\frac{F}{A} = -9\frac{B}{A}$: $$ 16 + 36\frac{B}{A} - 9\frac{B}{A} = 0 $$ $$ 16 + 27\frac{B}{A} = 0 $$ $$ \frac{B}{A} = -\frac{16}{27} $$

So the equation becomes: $$ x^2 - \frac{16}{27}y^2 - 9 = 0 $$

Multiply by 27: $$ 27x^2 - 16y^2 - 243 = 0 $$

Conclusion:

The equation has one positive and one negative squared term $$27x^2 - 16y^2 + 144 = 0$$ which is the equation of a hyperbola since A and C have opposite signs in the general form: $Ax^2+Bxy+Cy^2+Dx+Ey+F=0$.

$$\boxed{\text{The curve is a hyperbola.}}$$

Eccentricity of the Hyperbola

Find the eccentricity of the hyperbola whose equation is $$\frac{y^2}{2} - \frac{(x - 1)^2}{36} = 1$$

Analytic Geometry – Eccentricity of the Hyperbola – Diagram
Analytic Geometry – Eccentricity of the Hyperbola – Diagram

For a vertical hyperbola of the form $$\frac{y^2}{a^2} - \frac{(x - h)^2}{b^2} = 1,$$ we identify: $$a^2 = 2,\quad b^2 = 36.$$

So: $$a = \sqrt{2}, \qquad b = 6.$$

The relationship between $a$, $b$, and $c$ for hyperbolas is: $$c^2 = a^2 + b^2.$$

Substitute: $$c^2 = 2 + 36 = 38,$$ $$c = \sqrt{38}.$$

Eccentricity is: $$e = \frac{c}{a} = \frac{\sqrt{38}}{\sqrt{2}}.$$

Simplify: $$e = \sqrt{\frac{38}{2}} = \sqrt{19} \approx 4.4.$$

Final Answer:

$$\boxed{e \approx 4.4}$$

Foci and Asymptotes of the Hyperbola $9x^2 - 4y^2 = 36$

Find the foci and the equations of the asymptotes of the hyperbola $$9x^2 - 4y^2 = 36$$

Analytic Geometry – Foci and Asymptotes of the Hyperbola $9x^2 - 4y^2 = 36$ – Diagram
Analytic Geometry – Foci and Asymptotes of the Hyperbola $9x^2 - 4y^2 = 36$ – Diagram

Step 1: Rewrite in standard form.

$$ \frac{x^2}{4} - \frac{y^2}{9} = 1 $$ Thus, $$ a^2 = 4,\quad a = 2 $$ $$ b^2 = 9,\quad b = 3 $$

Step 2: Find the foci.

For hyperbolas: $$ c^2 = a^2 + b^2 = 4 + 9 = 13 $$ $$ c = \sqrt{13} $$ Since the transverse axis is horizontal: $$ F\left(\sqrt{13},\,0\right),\quad F'\left(-\sqrt{13},\,0\right) $$

Step 3: Use the general asymptote formula.

For a hyperbola $$ \frac{(x-h)^2}{a^2} - \frac{(y-k)^2}{b^2} = 1, $$ the asymptotes are: $$ y - k = \pm \frac{b}{a}(x - h) $$ Here, the center is $(h,k) = (0,0)$. So: $$ y = \pm \frac{b}{a}x $$ Substitute $a = 2,\ b = 3$: $$ y = \pm \frac{3}{2}x $$

Final Answers:

Foci:

$$ \boxed{F(\sqrt{13},0)},\qquad \boxed{F'(-\sqrt{13},0)} $$

Asymptotes:

$$ \boxed{y = \frac{3}{2}x},\qquad \boxed{y = -\frac{3}{2}x} $$

Find the Equation, Foci, and Asymptotes of a Hyperbola with Vertices $(\pm 3,0)$ Passing Through $P(5,2)$

Analytic Geometry – Find the Equation, Foci, and Asymptotes of a Hyperbola with Vertices $(\pm 3,0)$ Passing Through $P(5,2)$ – Diagram
Analytic Geometry – Find the Equation, Foci, and Asymptotes of a Hyperbola with Vertices $(\pm 3,0)$ Passing Through $P(5,2)$ – Diagram

Since the vertices are $(\pm 3,0)$, the hyperbola is centered at the origin with horizontal transverse axis, so:

$$ \frac{x^2}{a^2} - \frac{y^2}{b^2} = 1 $$

Given the vertices, $a = 3$ so:

$$ a^2 = 9 $$

Use the point $P(5,2)$:

$$ \frac{5^2}{9} - \frac{2^2}{b^2} = 1 $$ $$ \frac{25}{9} - \frac{4}{b^2} = 1 $$ $$ \frac{25}{9} - 1 = \frac{4}{b^2} $$ $$ \frac{16}{9} = \frac{4}{b^2} $$ $$ b^2 = \frac{9}{4} $$

The standard equation becomes:

$$ \frac{x^2}{9} - \frac{y^2}{\frac{9}{4}} = 1 $$

Multiply through to simplify:

$$ x^2 - 4y^2 = 9 $$

Foci

$$ c^2 = a^2 + b^2 = 9 + \frac{9}{4} = \frac{45}{4} $$ $$ c = \frac{3\sqrt{5}}{2} $$

Thus the foci are:

$$ F\left(\frac{3\sqrt{5}}{2},\,0\right),\qquad F'\left(-\frac{3\sqrt{5}}{2},\,0\right) $$

Asymptotes

General asymptote equation for a hyperbola centered at $(h,k)$:

$$ y - k = \pm \frac{b}{a}(x - h) $$

Here $(h,k) = (0,0)$, $a = 3$, $b = \frac{3}{2}$:

$$ y = \pm \frac{b}{a}x = \pm \frac{\frac{3}{2}}{3}x $$ $$ y = \pm \frac{1}{2}x $$

Final Answers

Equation of hyperbola:

$$ \boxed{x^2 - 4y^2 = 9} $$

Foci:

$$ \boxed{F\left(\frac{3\sqrt{5}}{2},0\right)},\quad \boxed{F'\left(-\frac{3\sqrt{5}}{2},0\right)} $$

Asymptotes:

$$ \boxed{y = \frac{1}{2}x},\qquad \boxed{y = -\frac{1}{2}x} $$

Find the Foci and Equations of the Asymptotes of the Hyperbola $4y^2 - 2x^2 = 1$

Analytic Geometry – Find the Foci and Equations of the Asymptotes of the Hyperbola $4y^2 - 2x^2 = 1$ – Diagram
Analytic Geometry – Find the Foci and Equations of the Asymptotes of the Hyperbola $4y^2 - 2x^2 = 1$ – Diagram

Rewrite the hyperbola in standard form:

$$ 4y^2 - 2x^2 = 1 $$ Divide by 1: $$ \frac{y^2}{\frac{1}{4}} - \frac{x^2}{\frac{1}{2}} = 1 $$ So: $$ a^2 = \frac{1}{4},\qquad b^2 = \frac{1}{2} $$

Compute $a$, $b$, and $c$.

$$ a = \frac{1}{2} $$ $$ b = \frac{1}{\sqrt{2}} = \frac{\sqrt{2}}{2} $$ For hyperbolas: $$ c^2 = a^2 + b^2 $$ $$ c^2 = \frac{1}{4} + \frac{1}{2} = \frac{3}{4} $$ $$ c = \frac{\sqrt{3}}{2} $$

Foci: For a vertical hyperbola, the foci are $(0,\pm c)$.

$$ \boxed{(0,\pm \frac{\sqrt{3}}{2})} $$

Asymptotes

General formula for a vertical hyperbola centered at $(h,k)$: $$ y - k = \pm \frac{a}{b}(x - h) $$ Here $(h,k) = (0,0)$, so: $$ y = \pm \frac{a}{b}x $$ Substitute: $$ \frac{a}{b} = \frac{\frac{1}{2}}{\frac{\sqrt{2}}{2}} = \frac{1}{\sqrt{2}} = \frac{\sqrt{2}}{2} $$ Thus: $$ \boxed{y = \pm \frac{\sqrt{2}}{2}x} $$

Final Answers

Foci:

$$ \boxed{(0,\pm \frac{\sqrt{3}}{2})} $$

Asymptotes:

$$ \boxed{y = \frac{\sqrt{2}}{2}x},\qquad \boxed{y = -\frac{\sqrt{2}}{2}x} $$

Rutherford Scattering and Hyperbolic Particle Path

In an experiment that led to the discovery of the atomic structure of matter, Lord Rutherford (1871–1937) shot high-energy alpha particles toward a thin sheet of gold. Because many were reflected, Rutherford showed the existence of the nucleus of a gold atom. The alpha particle is repelled by the nucleus at the origin; it travels along the hyperbolic path $$4x^2 - y^2 = 16.$$ How close does the particle come to the nucleus?

Analytic Geometry – Rutherford Scattering and Hyperbolic Particle Path – Diagram
Analytic Geometry – Rutherford Scattering and Hyperbolic Particle Path – Diagram

Rewrite the equation in standard hyperbola form:

$$ 4x^2 - y^2 = 16 $$ Divide by 16: $$ \frac{x^2}{4} - \frac{y^2}{16} = 1 $$

This is a hyperbola centered at $(0,0)$ with:

$$ a^2 = 4,\quad a = 2 $$ $$ b^2 = 16,\quad b = 4 $$

For a hyperbola of the form $$\frac{x^2}{a^2} - \frac{y^2}{b^2} = 1,$$ the shortest distance from the center to the curve (closest approach to the nucleus) occurs at the vertex $(\pm a, 0)$.

Thus, the particle comes within

$$ \boxed{a = 2} $$

units of distance from the nucleus.

Equation of the Diameter of a Conic

The diameter of a conic is the locus of the midpoints of a family of parallel chords drawn to the conic.

Analytic Geometry – Equation of the Diameter of a Conic – Diagram

For any conic, parallel chords share a common direction. Let the slope of these parallel chords be $m$.

To find the equation of the diameter corresponding to slope $m$:

1. Differentiate the conic equation to obtain $y'$.
2. Substitute $y' = m$ into the derivative.
3. The resulting equation represents the locus of midpoints β€” the diameter.

Geometrically, each chord midpoint lies on a straight line (the diameter), and every chord in the family is parallel to the others.


Summary: The diameter associated with slope $m$ is determined by enforcing $$ y' = m $$ on the conic equation. This produces a linear locus describing all midpoint positions of the parallel chords.

Diameter of an Ellipse from Chords of Equal Slope

The chords of the ellipse $64x^2 + 25y^2 = 1600$ having equal slopes of $1/5$ are bisected by its diameter. Determine the equation of this diameter.

Analytic Geometry – Diameter of an Ellipse from Chords of Equal Slope – Diagram

Differentiation:

$$ 64x^2 + 25y^2 = 1600 $$ Differentiate: $$ 128x + 50y\,y' = 0 $$

Substitute the slope of the parallel chords: $y' = \frac{1}{5}$

$$ 128x + 50y\left(\frac{1}{5}\right) = 0 $$ Simplify: $$ 128x + 10y = 0 $$ Final equation of the diameter: $$ \boxed{64x + 5y = 0} $$

Diameter of a Parabola from Chords Parallel to a Given Line

A parabola has equation $y^2 = 8x$. Find the equation of the diameter that bisects all chords parallel to the line $x - y = 4$.

Analytic Geometry – Diameter of a Parabola from Chords Parallel to a Given Line – Diagram

Chords parallel to the line $x - y = 4$ have slope $$ y' = 1 $$

Differentiate the parabola:

$$ y^2 = 8x $$ $$ 2y\,y' = 8 $$

Substitute the slope of the parallel chords:

$$ 2y(1) = 8 $$ Thus, $$ \boxed{y = 4} $$

This horizontal line is the diameter that bisects all chords parallel to $x - y = 4$.

Scroll to zoom