CE Board Exam Randomizer

⬅ Back to Subject Topics

Variation Problems

Variation problems describe how one quantity changes in relation to another. These are common in science, engineering, and economics, where quantities are linked proportionally or inversely.

The constant of variation, usually denoted as $k$, defines the strength or rate of the relationship.

Types of Variation:

$$ y = kx $$
$$ y = \frac{k}{x} $$
$$ y = kxz $$
$$ y = \frac{kz}{x} $$

Variation equations allow us to model relationships like force and acceleration, pressure and volume, population and resources, or resistance and current.

Concept Concept Concept Concept Concept Concept Concept Concept Concept

Problem 1:

The intensity of light (in foot-candle) varies inversely as the square of x, the distance in feet from the light source. The intensity of light 2 ft from the source is 80 ft-candles. How far away is the source if intensity of light is 5 ft-candles?

Variation Problems in Algebra – Problem 1: – Diagram Variation Problems in Algebra – Problem 1: – Diagram Variation Problems in Algebra – Problem 1: – Diagram

See images:

Variation Problems in Algebra – Problem 1: – Diagram Variation Problems in Algebra – Problem 1: – Diagram Variation Problems in Algebra – Problem 1: – Diagram Variation Problems in Algebra – Problem 1: – Diagram

Problem 2:

The weight of a body varies inversely as the square of its distance from the center of the earth. If the radius of the earth is 4000 miles, how much would a 200-pound man weigh 1000 miles above the surface of the earth?

Variation Problems in Algebra – Problem 2: – Diagram Variation Problems in Algebra – Problem 2: – Diagram Variation Problems in Algebra – Problem 2: – Diagram

See images:

Variation Problems in Algebra – Problem 2: – Diagram Variation Problems in Algebra – Problem 2: – Diagram Variation Problems in Algebra – Problem 2: – Diagram Variation Problems in Algebra – Problem 2: – Diagram

Problem 3:

Given that y varies inversely as the square of the difference of w and x, and that y=6 when w=3 and x=1, find the equation for y.

Variation Problems in Algebra – Problem 3: – Diagram Variation Problems in Algebra – Problem 3: – Diagram Variation Problems in Algebra – Problem 3: – Diagram

See images:

Variation Problems in Algebra – Problem 3: – Diagram Variation Problems in Algebra – Problem 3: – Diagram Variation Problems in Algebra – Problem 3: – Diagram Variation Problems in Algebra – Problem 3: – Diagram

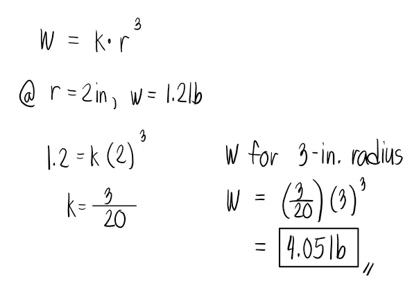
Problem 4:

The weight of a synthetic ball varies directly with the cube of its radius. A ball with a radius of 2 inches weighs 1.20 pounds. Find the weight of a ball of the same material with a 3-inch radius.

Variation Problems in Algebra – Problem 4: – Diagram Variation Problems in Algebra – Problem 4: – Diagram Variation Problems in Algebra – Problem 4: – Diagram

See images:

Variation Problems in Algebra – Problem 4: – Diagram Variation Problems in Algebra – Problem 4: – Diagram Variation Problems in Algebra – Problem 4: – Diagram Variation Problems in Algebra – Problem 4: – Diagram

Problem 5:

The maximum weight that a rectangular beam can support varies jointly as its width and the square of its height and inversely as its length. If a beam 1/2 foot wide, 1/3 foot high, and 10 feet long can support 12 tons, find how much a similar beam can support if the beam is 2/3 foot wide, 1/2 foot high, and 16 feet long.

Variation Problems in Algebra – Problem 5: – Diagram Variation Problems in Algebra – Problem 5: – Diagram Variation Problems in Algebra – Problem 5: – Diagram

See images:

Variation Problems in Algebra – Problem 5: – Diagram Variation Problems in Algebra – Problem 5: – Diagram Variation Problems in Algebra – Problem 5: – Diagram Variation Problems in Algebra – Problem 5: – Diagram

Problem 6:

Refer to the image shown:

Variation Problems in Algebra – Problem 6: – Diagram Variation Problems in Algebra – Problem 6: – Diagram Variation Problems in Algebra – Problem 6: – Diagram

See images:

Variation Problems in Algebra – Problem 6: – Diagram Variation Problems in Algebra – Problem 6: – Diagram Variation Problems in Algebra – Problem 6: – Diagram Variation Problems in Algebra – Problem 6: – Diagram

Problem 7:

Refer to the image shown:

Variation Problems in Algebra – Problem 7: – Diagram Variation Problems in Algebra – Problem 7: – Diagram Variation Problems in Algebra – Problem 7: – Diagram

See images:

Variation Problems in Algebra – Problem 7: – Diagram Variation Problems in Algebra – Problem 7: – Diagram Variation Problems in Algebra – Problem 7: – Diagram Variation Problems in Algebra – Problem 7: – Diagram

Problem 8:

Refer to the image shown:

Variation Problems in Algebra – Problem 8: – Diagram Variation Problems in Algebra – Problem 8: – Diagram Variation Problems in Algebra – Problem 8: – Diagram

See images:

Variation Problems in Algebra – Problem 8: – Diagram Variation Problems in Algebra – Problem 8: – Diagram Variation Problems in Algebra – Problem 8: – Diagram Variation Problems in Algebra – Problem 8: – Diagram
-->
Scroll to zoom