CE Board Exam Randomizer

⬅ Back to Subject Topics

Polynomials

A polynomial is an algebraic expression involving variables raised to non-negative integer exponents, combined using addition, subtraction, or multiplication.

General Form of a Polynomial:

$$ P(x) = a_nx^n + a_{n-1}x^{n-1} + \cdots + a_1x + a_0 $$

Where:

Key Concepts:


Binomial Expansion

The Binomial Theorem gives a formula for expanding powers of a binomial:

$$ (a + b)^n = \sum_{k=0}^{n} \binom{n}{k} a^{n-k}b^k $$

Where $\displaystyle \binom{n}{k}$ is the binomial coefficient, calculated as:

$$ \binom{n}{k} = \frac{n!}{k!(n - k)!} $$

Pascal's Triangle:

Binomial coefficients form a pattern known as Pascal's Triangle:

$$ \begin{array}{cccccccccccc} &&&&&& 1 &&&&&& \\ &&&&& 1 && 1 &&&& \\ &&&& 1 && 2 && 1 &&& \\ &&& 1 && 3 && 3 && 1 && \\ && 1 && 4 && 6 && 4 && 1 & \\ & 1 && 5 && 10 && 10 && 5 && 1 \\ \end{array} $$

Each row corresponds to the coefficients of $(a + b)^n$ for $n = 0, 1, 2, \dots$
Note that the number of terms in the expansion (u+v)n is n+1. The exponent of u decreases from n to zero while that of v increases from 0 to n. Additionally, the coefficient of the terms equidistant from the extremes are equal.

Additional Binomial Expansion Formulas

Sum of the coefficients (substitute 1 for all variables):

For $(px+qy)^n$:

$$S=(p\cdot1+q\cdot1)^n=(p+q)^n$$

For $(px+k)^n$ where $k$ is constant:

$$S=(p\cdot1+k)^n-k^n=(p+k)^n-k^n$$

Sum of the exponents in $(u^a+v^b)^n$:

$$S=\dfrac{n(n+1)(a+b)}{2}$$

rth term:

$$rth\ term = nCm \,(a^{\,n-m})(b^m) \quad | \quad m=r-1$$

Useful in Engineering Applications:

Understanding polynomials is essential not only in pure math but also in approximating curves, solving real-world system equations, and modeling engineering phenomena.

Special Products

Special products are algebraic expressions that follow predictable patterns when expanded. Recognizing these patterns makes factoring and simplification faster and easier.

1. Square of a Binomial

(a + b)2 and (a − b)2:

$$ (a + b)^2 = a^2 + 2ab + b^2 $$ $$ (a - b)^2 = a^2 - 2ab + b^2 $$

Use these identities to quickly expand or factor expressions that involve squared binomials.

2. Product of a Sum and Difference

(a + b)(a − b):

$$ (a + b)(a - b) = a^2 - b^2 $$

This results in a difference of squares. Useful for simplifying expressions or solving equations.

3. Cube of a Binomial

(a + b)3 and (a − b)3:

$$ (a + b)^3 = a^3 + 3a^2b + 3ab^2 + b^3 $$ $$ (a - b)^3 = a^3 - 3a^2b + 3ab^2 - b^3 $$

These help expand cubic binomials without multiplying step by step.

4. Sum and Difference of Cubes

$$ a^3 + b^3 = (a + b)(a^2 - ab + b^2) $$ $$ a^3 - b^3 = (a - b)(a^2 + ab + b^2) $$

These identities are used when factoring expressions with cubic terms.

5. Perfect Square Trinomials

Recognize expressions of the form:

$$ a^2 \pm 2ab + b^2 = (a \pm b)^2 $$

Useful in completing the square or solving quadratic equations.


Mastering these special products allows you to reverse the process during factoring and apply them in higher math, engineering equations, and simplifications in calculus.

Concept Concept Concept Concept Concept Concept Concept Concept Concept

Problem 1:

Find the terms in the expansion of (2x+3y2)4

Polynomials | Algebra – Problem 1: – Diagram Polynomials | Algebra – Problem 1: – Diagram Polynomials | Algebra – Problem 1: – Diagram

u=2x
v=3y2
(u+v)4=u4+4u3v+6u2v2+4uv3+v4
$$(2x)^4 + 4(2x)^3(3y^2) + 6(2x)^2(3y^2)^2 + 4(2x)(3y^2)^3 + (3y^2)^4$$ $$\boxed{16x^4+96x^3y^2+216x^2y^4+216xy^6+81y^8}$$

Polynomials | Algebra – Problem 1: – Diagram Polynomials | Algebra – Problem 1: – Diagram Polynomials | Algebra – Problem 1: – Diagram Polynomials | Algebra – Problem 1: – Diagram

Problem 2:

Find the term that is independent of x in the expansion of $\left( 2 + \frac{3}{x^2} \right)\left( x - \frac{2}{x} \right)^6$

Polynomials | Algebra – Problem 2: – Diagram Polynomials | Algebra – Problem 2: – Diagram Polynomials | Algebra – Problem 2: – Diagram
Polynomials | Algebra – Problem 2: – Diagram

By expansion, we observe that the term independent of x is -140. However, this process is tedious if we have to apply the FOIL method. Another way we can tackle this problem is by using the binomial expansion formulas.

Polynomials | Algebra – Problem 2: – Diagram Polynomials | Algebra – Problem 2: – Diagram Polynomials | Algebra – Problem 2: – Diagram

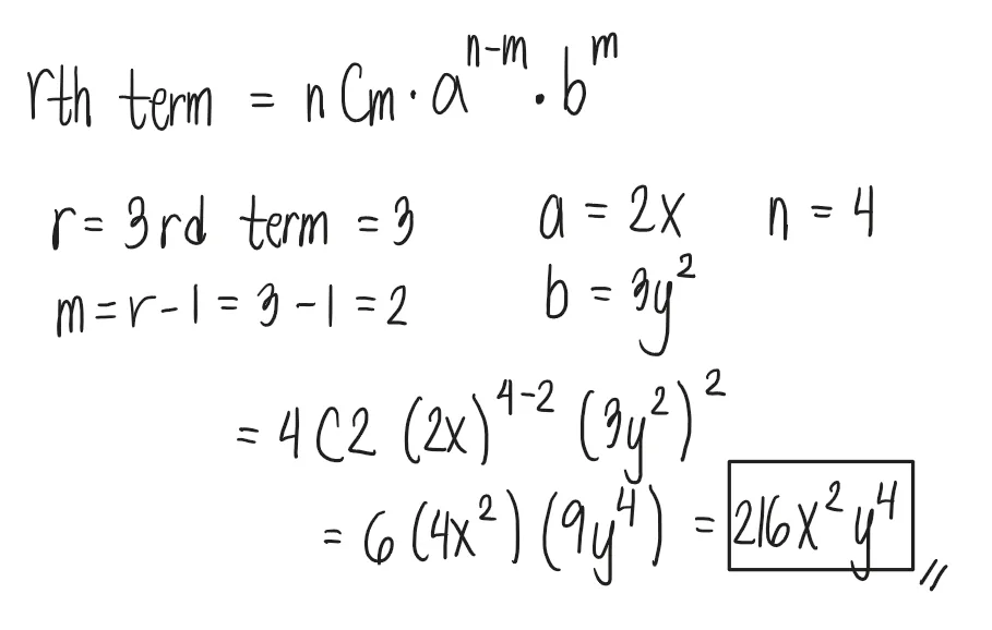
Problem 3:

Find the 3rd term in the expansion of (2x+3y2)4

Polynomials | Algebra – Problem 3: – Diagram Polynomials | Algebra – Problem 3: – Diagram Polynomials | Algebra – Problem 3: – Diagram

See images:

Polynomials | Algebra – Problem 3: – Diagram Polynomials | Algebra – Problem 3: – Diagram Polynomials | Algebra – Problem 3: – Diagram Polynomials | Algebra – Problem 3: – Diagram

Problem 4:

In the binomial expansion of (x+y)n, find the middle term if the coefficients of the 3rd and 11th term are equal to each other.

Polynomials | Algebra – Problem 4: – Diagram Polynomials | Algebra – Problem 4: – Diagram Polynomials | Algebra – Problem 4: – Diagram

See images:

Polynomials | Algebra – Problem 4: – Diagram Polynomials | Algebra – Problem 4: – Diagram Polynomials | Algebra – Problem 4: – Diagram Polynomials | Algebra – Problem 4: – Diagram

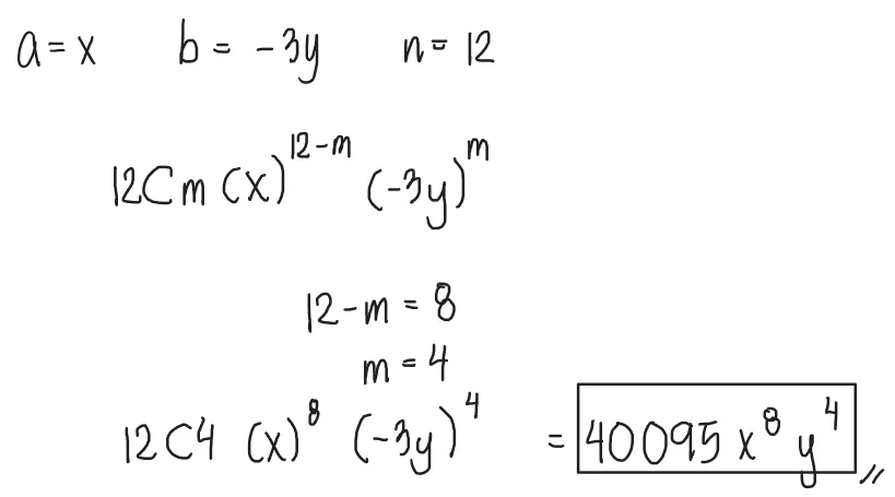
Problem 5:

Find the term involving x8 in the expansion of (x-3y)12

Polynomials | Algebra – Problem 5: – Diagram Polynomials | Algebra – Problem 5: – Diagram Polynomials | Algebra – Problem 5: – Diagram

See images:

Polynomials | Algebra – Problem 5: – Diagram Polynomials | Algebra – Problem 5: – Diagram Polynomials | Algebra – Problem 5: – Diagram Polynomials | Algebra – Problem 5: – Diagram

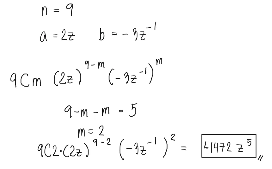
Problem 6:

Find the term containing z5 in the expansion of (2z-3z-1)9

Polynomials | Algebra – Problem 6: – Diagram Polynomials | Algebra – Problem 6: – Diagram Polynomials | Algebra – Problem 6: – Diagram

See images:

Polynomials | Algebra – Problem 6: – Diagram Polynomials | Algebra – Problem 6: – Diagram Polynomials | Algebra – Problem 6: – Diagram Polynomials | Algebra – Problem 6: – Diagram

Problem 7:

Find the sum of the coefficients of all terms in the expansion of (2x+3y2)4

Polynomials | Algebra – Problem 7: – Diagram Polynomials | Algebra – Problem 7: – Diagram Polynomials | Algebra – Problem 7: – Diagram

See images:

Polynomials | Algebra – Problem 7: – Diagram Polynomials | Algebra – Problem 7: – Diagram Polynomials | Algebra – Problem 7: – Diagram Polynomials | Algebra – Problem 7: – Diagram

Problem 8:

Find the sum of the coefficients of the expression (3x-4)5

Polynomials | Algebra – Problem 8: – Diagram Polynomials | Algebra – Problem 8: – Diagram Polynomials | Algebra – Problem 8: – Diagram

See images:

Polynomials | Algebra – Problem 8: – Diagram Polynomials | Algebra – Problem 8: – Diagram Polynomials | Algebra – Problem 8: – Diagram Polynomials | Algebra – Problem 8: – Diagram

Problem 9:

Find the sum of the coefficients and exponents of the expansion (4x+3y)7

Polynomials | Algebra – Problem 9: – Diagram Polynomials | Algebra – Problem 9: – Diagram Polynomials | Algebra – Problem 9: – Diagram

See images:

Polynomials | Algebra – Problem 9: – Diagram Polynomials | Algebra – Problem 9: – Diagram Polynomials | Algebra – Problem 9: – Diagram Polynomials | Algebra – Problem 9: – Diagram

Problem 10:

Find the sum of the coefficients and exponents of the expansion (3x2+4)5

Polynomials | Algebra – Problem 10: – Diagram Polynomials | Algebra – Problem 10: – Diagram Polynomials | Algebra – Problem 10: – Diagram

See images:

Polynomials | Algebra – Problem 10: – Diagram Polynomials | Algebra – Problem 10: – Diagram Polynomials | Algebra – Problem 10: – Diagram Polynomials | Algebra – Problem 10: – Diagram
Scroll to zoom