CE Board Exam Randomizer

⬅ Back to Subject Topics

Partial Fraction Decomposition

Partial fraction decomposition is a method used to rewrite rational expressions—fractions where both numerator and denominator are polynomials—into a sum of simpler fractions. This technique is essential in calculus, Laplace transforms, and system analysis in engineering.

Form of a Rational Expression:

$$ \frac{P(x)}{Q(x)} $$

Where $P(x)$ and $Q(x)$ are polynomials, and the degree of the numerator is less than the degree of the denominator.

Why It Works:

If the denominator can be factored, the rational expression can be decomposed into a sum of simpler terms whose denominators match those factors. This makes integration and algebraic manipulation easier.

Case 1: Distinct Linear Factors

$$ \frac{1}{(x - a)(x - b)} = \frac{A}{x - a} + \frac{B}{x - b} $$

Case 2: Repeated Linear Factors

$$ \frac{1}{(x - a)^2} = \frac{A}{x - a} + \frac{B}{(x - a)^2} $$

Case 3: Irreducible Quadratic Factors

$$ \frac{1}{(x^2 + bx + c)} = \frac{Ax + B}{x^2 + bx + c} $$

Steps in Decomposition:

  1. Ensure the degree of the numerator is less than that of the denominator. If not, perform polynomial division.
  2. Factor the denominator completely.
  3. Set up partial fractions based on the type of factors (linear, repeated, or quadratic).
  4. Multiply through by the common denominator to eliminate fractions.
  5. Solve for constants by substitution or comparing coefficients.

This decomposition method transforms complex expressions into manageable parts for integration, inverse transforms, or system modeling in engineering contexts.

Concept Concept Concept Concept Concept Concept Concept Concept Concept

Problem 1:

Perform partial fraction decomposition for the following function: $$\frac{9x+2}{(x+2)(3x-2)}$$

Partial Fractions | Algebra – Problem 1: – Diagram Partial Fractions | Algebra – Problem 1: – Diagram Partial Fractions | Algebra – Problem 1: – Diagram

See images:

Partial Fractions | Algebra – Problem 1: – Diagram Partial Fractions | Algebra – Problem 1: – Diagram Partial Fractions | Algebra – Problem 1: – Diagram Partial Fractions | Algebra – Problem 1: – Diagram

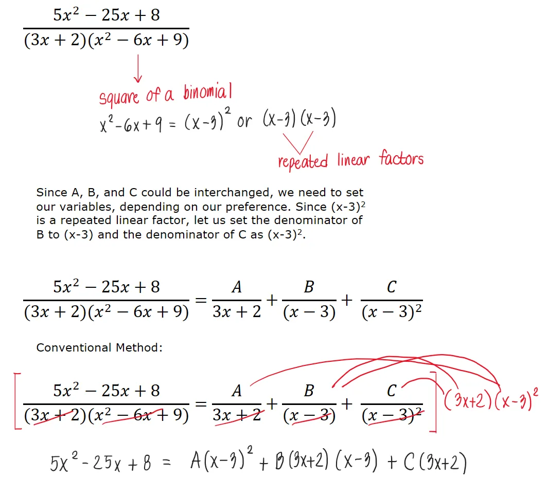
Problem 2:

Perform partial fraction decomposition for the following function: $$\frac{5x^2-25x+8}{(3x+2)(x^2-6x+9)}$$

Partial Fractions | Algebra – Problem 2: – Diagram Partial Fractions | Algebra – Problem 2: – Diagram Partial Fractions | Algebra – Problem 2: – Diagram

See images:

Partial Fractions | Algebra – Problem 2: – Diagram Partial Fractions | Algebra – Problem 2: – Diagram Partial Fractions | Algebra – Problem 2: – Diagram Partial Fractions | Algebra – Problem 2: – Diagram

Problem 3:

Determine the value of A, B, and C. $$\frac{2x^2+x+1}{(x^3+x)}$$

Partial Fractions | Algebra – Problem 3: – Diagram Partial Fractions | Algebra – Problem 3: – Diagram Partial Fractions | Algebra – Problem 3: – Diagram

See images:

Partial Fractions | Algebra – Problem 3: – Diagram Partial Fractions | Algebra – Problem 3: – Diagram Partial Fractions | Algebra – Problem 3: – Diagram Partial Fractions | Algebra – Problem 3: – Diagram

Problem 4:

Determine the value of A, B, C, and D. $$\frac{3x^2+5x+5}{(x^2+1)^2}$$

Partial Fractions | Algebra – Problem 4: – Diagram Partial Fractions | Algebra – Problem 4: – Diagram Partial Fractions | Algebra – Problem 4: – Diagram

See images:

Partial Fractions | Algebra – Problem 4: – Diagram Partial Fractions | Algebra – Problem 4: – Diagram Partial Fractions | Algebra – Problem 4: – Diagram Partial Fractions | Algebra – Problem 4: – Diagram

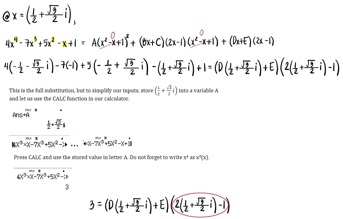
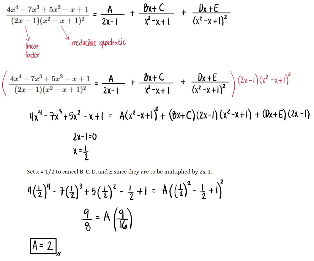
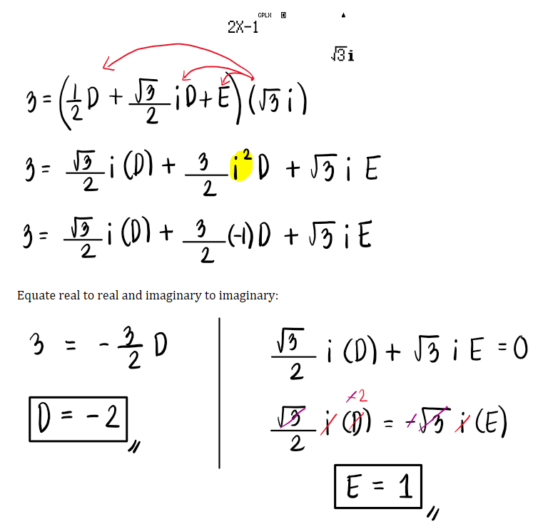
Problem 5:

Determine the value of A, B, C, D, and E. $$\frac{4x^4-7x^3+5x^2-x+1}{(2x-1)(x^2-x+1)^2}$$

Partial Fractions | Algebra – Problem 5: – Diagram Partial Fractions | Algebra – Problem 5: – Diagram Partial Fractions | Algebra – Problem 5: – Diagram

See images:

Partial Fractions | Algebra – Problem 5: – Diagram Partial Fractions | Algebra – Problem 5: – Diagram Partial Fractions | Algebra – Problem 5: – Diagram Partial Fractions | Algebra – Problem 5: – Diagram Partial Fractions | Algebra – Problem 5: – Diagram Partial Fractions | Algebra – Problem 5: – Diagram

Problem 6:

Refer to the image shown:

Partial Fractions | Algebra – Problem 6: – Diagram Partial Fractions | Algebra – Problem 6: – Diagram Partial Fractions | Algebra – Problem 6: – Diagram

See images:

Partial Fractions | Algebra – Problem 6: – Diagram Partial Fractions | Algebra – Problem 6: – Diagram Partial Fractions | Algebra – Problem 6: – Diagram Partial Fractions | Algebra – Problem 6: – Diagram

Problem 7:

Refer to the image shown:

Partial Fractions | Algebra – Problem 7: – Diagram Partial Fractions | Algebra – Problem 7: – Diagram Partial Fractions | Algebra – Problem 7: – Diagram

See images:

Partial Fractions | Algebra – Problem 7: – Diagram Partial Fractions | Algebra – Problem 7: – Diagram Partial Fractions | Algebra – Problem 7: – Diagram Partial Fractions | Algebra – Problem 7: – Diagram

Problem 8:

Refer to the image shown:

Partial Fractions | Algebra – Problem 8: – Diagram Partial Fractions | Algebra – Problem 8: – Diagram Partial Fractions | Algebra – Problem 8: – Diagram

See images:

Partial Fractions | Algebra – Problem 8: – Diagram Partial Fractions | Algebra – Problem 8: – Diagram Partial Fractions | Algebra – Problem 8: – Diagram Partial Fractions | Algebra – Problem 8: – Diagram
-->
Scroll to zoom