CE Board Exam Randomizer

⬅ Back to Subject Topics

Geometric Progression

A geometric progression (GP) is a sequence where each term is obtained by multiplying the previous term by a fixed constant called the common ratio, denoted by $r$.

General Term of a GP:

$$ a_n = a_1 \cdot r^{n-1} $$

Where:

Sum of First n Terms of a GP:

$$ S_n = \frac{a_1(1 - r^n)}{1 - r} $$

This formula is valid as long as $r \ne 1$.

Sum of an Infinite GP (when $|r| < 1$):

$$ S_\infty = \frac{a_1}{1 - r} $$

This applies to converging geometric series, where the terms get smaller and smaller as $n$ increases.

Real-Life Examples:

Concept Concept Concept Concept Concept Concept Concept Concept Concept

Problem 1:

The number 28, x + 2, 112 form a geometric progression. What is the 10th term? What is the sum of the geometric progression?

Geometric Progression | Algebra – Problem 1: – Diagram Geometric Progression | Algebra – Problem 1: – Diagram Geometric Progression | Algebra – Problem 1: – Diagram

See images:

Geometric Progression | Algebra – Problem 1: – Diagram Geometric Progression | Algebra – Problem 1: – Diagram Geometric Progression | Algebra – Problem 1: – Diagram Geometric Progression | Algebra – Problem 1: – Diagram

Problem 2:

The first swing of the pendulum is 50 cm. If each swing is 80% of the preceding swing, how far does the pendulum travel before coming to rest?

Geometric Progression | Algebra – Problem 2: – Diagram Geometric Progression | Algebra – Problem 2: – Diagram Geometric Progression | Algebra – Problem 2: – Diagram

See images:

Geometric Progression | Algebra – Problem 2: – Diagram Geometric Progression | Algebra – Problem 2: – Diagram Geometric Progression | Algebra – Problem 2: – Diagram Geometric Progression | Algebra – Problem 2: – Diagram

Problem 3:

The first term of a geometric sequence is 375 and the fourth term is 192. Find the common ratio and the sum of the first four terms.

Geometric Progression | Algebra – Problem 3: – Diagram Geometric Progression | Algebra – Problem 3: – Diagram Geometric Progression | Algebra – Problem 3: – Diagram

See images:

Geometric Progression | Algebra – Problem 3: – Diagram Geometric Progression | Algebra – Problem 3: – Diagram Geometric Progression | Algebra – Problem 3: – Diagram Geometric Progression | Algebra – Problem 3: – Diagram

Problem 4:

A boy agrees to work at the rate of one cent the first day, two cents the second day, four cents the third day, eight cents the fourth day, etc. How much would he receive at the end of 12 days?

Geometric Progression | Algebra – Problem 4: – Diagram Geometric Progression | Algebra – Problem 4: – Diagram Geometric Progression | Algebra – Problem 4: – Diagram

See images:

Geometric Progression | Algebra – Problem 4: – Diagram Geometric Progression | Algebra – Problem 4: – Diagram Geometric Progression | Algebra – Problem 4: – Diagram Geometric Progression | Algebra – Problem 4: – Diagram

Problem 5:

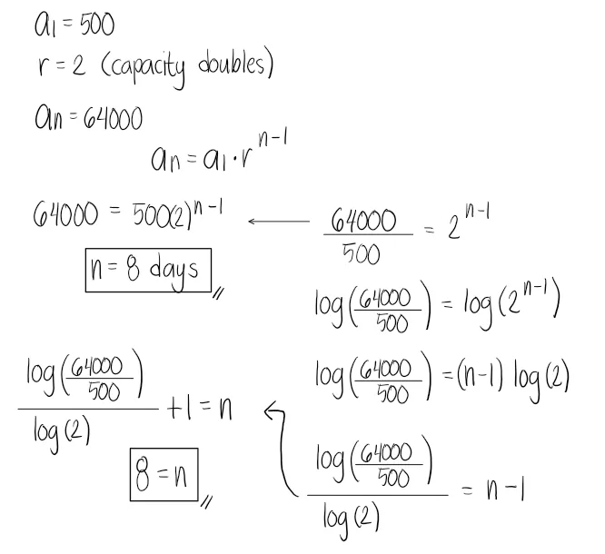
A tech startup launches a new data storage device with cutting-edge compression. On day 1, the device can store 500 MB. Each day, due to software upgrades, its capacity doubles. After how many days will the device be able to store exactly 64,000 MB?

Geometric Progression | Algebra – Problem 5: – Diagram Geometric Progression | Algebra – Problem 5: – Diagram Geometric Progression | Algebra – Problem 5: – Diagram

See images:

Geometric Progression | Algebra – Problem 5: – Diagram Geometric Progression | Algebra – Problem 5: – Diagram Geometric Progression | Algebra – Problem 5: – Diagram Geometric Progression | Algebra – Problem 5: – Diagram

Problem 6:

The sum of the first 4 terms of a geometric sequence is 1554. The sum of the first 6 terms is 55986. What is the sum of the first 8 terms?

Geometric Progression | Algebra – Problem 6: – Diagram Geometric Progression | Algebra – Problem 6: – Diagram Geometric Progression | Algebra – Problem 6: – Diagram

See images:

Geometric Progression | Algebra – Problem 6: – Diagram Geometric Progression | Algebra – Problem 6: – Diagram Geometric Progression | Algebra – Problem 6: – Diagram Geometric Progression | Algebra – Problem 6: – Diagram

Problem 7:

Refer to the image shown:

Geometric Progression | Algebra – Problem 7: – Diagram Geometric Progression | Algebra – Problem 7: – Diagram Geometric Progression | Algebra – Problem 7: – Diagram

See images:

Geometric Progression | Algebra – Problem 7: – Diagram Geometric Progression | Algebra – Problem 7: – Diagram Geometric Progression | Algebra – Problem 7: – Diagram Geometric Progression | Algebra – Problem 7: – Diagram

Problem 8:

Refer to the image shown:

Geometric Progression | Algebra – Problem 8: – Diagram Geometric Progression | Algebra – Problem 8: – Diagram Geometric Progression | Algebra – Problem 8: – Diagram

See images:

Geometric Progression | Algebra – Problem 8: – Diagram Geometric Progression | Algebra – Problem 8: – Diagram Geometric Progression | Algebra – Problem 8: – Diagram Geometric Progression | Algebra – Problem 8: – Diagram
-->
Scroll to zoom